Image Details

Choose export citation format:

Correcting Ionospheric Faraday Rotation for the VLA and MeerKAT

  • Authors: Richard A. Perley, Bryan J. Butler, Eric W. Greisen, Benjamin V. Hugo, Evangelia Tremou, A. G. Willis

Richard A. Perley et al 2026 The Astrophysical Journal Supplement Series 283 .

  • Provider: AAS Journals

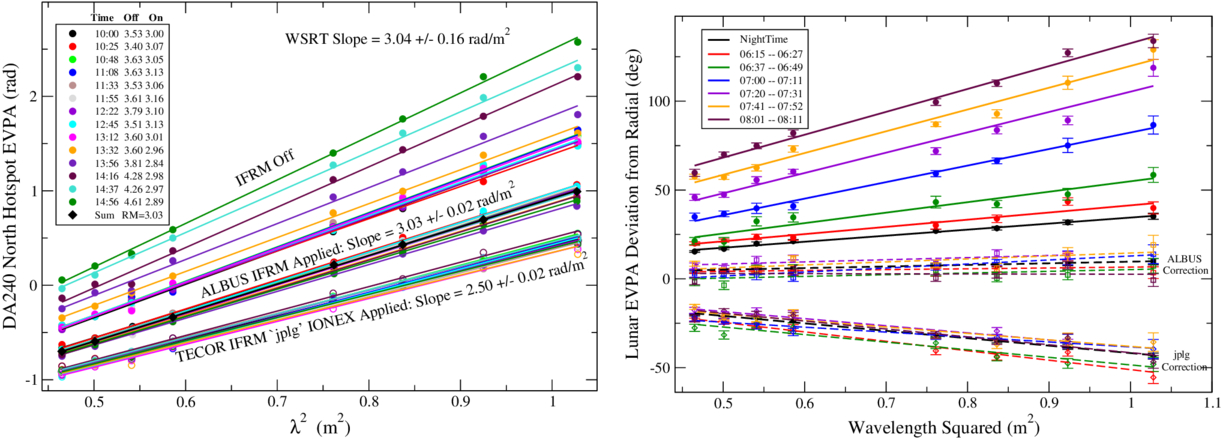
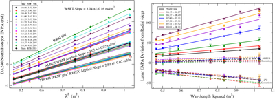
Caption: Figure 7.

Left panel: the observed and corrected EVPAs for DA240 for the “D2” observation by time. Shown are the uncorrected, and IFRM-corrected data for two estimates. Right panel: the same as the left panel, for the Moon. The colored solid lines show the fits to each observation taken after dawn. The black solid line is the fit for the night-time observations. The dashed lines show the fits following ALBUS corrections (shorter dashes) and “jplg” global (longer dashes).

Other Images in This Article

Show More

Copyright and Terms & Conditions

Additional terms of reuse