Image Details

Choose export citation format:

Correcting Ionospheric Faraday Rotation for the VLA and MeerKAT

  • Authors: Richard A. Perley, Bryan J. Butler, Eric W. Greisen, Benjamin V. Hugo, Evangelia Tremou, A. G. Willis

Richard A. Perley et al 2026 The Astrophysical Journal Supplement Series 283 .

  • Provider: AAS Journals

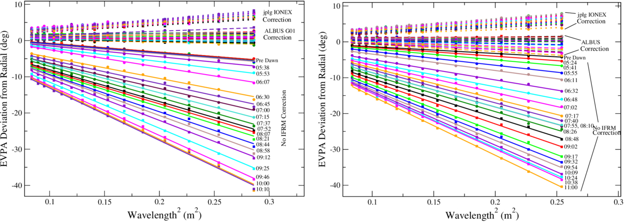
Caption: Figure 10.

Showing the uncorrected observed lunar EVPA offsets, and the values after correction by the “jplg” global estimate and the ALBUS estimate for two MeerKAT observations: 2025 August 18 on the left, and 2025 August 19 on the right.

Other Images in This Article

Show More

Copyright and Terms & Conditions

Additional terms of reuse