Image Details

Choose export citation format:

Correcting Ionospheric Faraday Rotation for the VLA and MeerKAT

  • Authors: Richard A. Perley, Bryan J. Butler, Eric W. Greisen, Benjamin V. Hugo, Evangelia Tremou, A. G. Willis

Richard A. Perley et al 2026 The Astrophysical Journal Supplement Series 283 .

  • Provider: AAS Journals

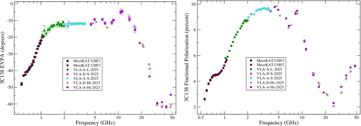
Caption: Figure 13.

Showing the intrinsic EVPA (left panel) and polarization fraction (right panel) for 3C138 from VLA and MeerKAT data. These data have been corrected with ALBUS G01 IFRM estimates. The oscillatory behavior seen above 4 GHz is due to a beating between the nuclear polarized emission and that from the subarcsecond jet.

Other Images in This Article

Show More

Copyright and Terms & Conditions

Additional terms of reuse