Image Details

Choose export citation format:

Low-energy Spectra of Gamma-Ray Bursts from Cooling Electrons

  • Authors: Jin-Jun Geng, Yong-Feng Huang, Xue-Feng Wu, Bing Zhang, and Hong-Shi Zong

2018 The Astrophysical Journal Supplement Series 234 3.

  • Provider: AAS Journals

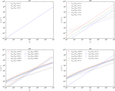
Caption: Figure 3.

Comoving cooling rates of different cooling mechanisms for the electrons with the energy distribution presented in Figure 1. Different colors (red, green, and blue) denote the cooling rates at different epochs, and different line styles (solid, dashed, and dotted) present different cooling mechanisms (SSC, synchrotron, and adiabatic). Note that in M1, synchrotron cooling rates are time-independent, since ﹩{B}^{{\prime} }﹩ is a constant in this case.

Other Images in This Article

Show More

Copyright and Terms & Conditions