Image Details

Choose export citation format:

Low-energy Spectra of Gamma-Ray Bursts from Cooling Electrons

  • Authors: Jin-Jun Geng, Yong-Feng Huang, Xue-Feng Wu, Bing Zhang, and Hong-Shi Zong

2018 The Astrophysical Journal Supplement Series 234 3.

  • Provider: AAS Journals

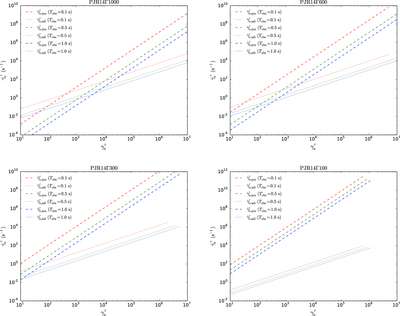
Caption: Figure 10.

Comoving cooling rates of different cooling mechanisms for the electrons with the energy distribution presented in Figure 8.

Other Images in This Article

Show More

Copyright and Terms & Conditions