Image Details

Choose export citation format:

Low-energy Spectra of Gamma-Ray Bursts from Cooling Electrons

  • Authors: Jin-Jun Geng, Yong-Feng Huang, Xue-Feng Wu, Bing Zhang, and Hong-Shi Zong

2018 The Astrophysical Journal Supplement Series 234 3.

  • Provider: AAS Journals

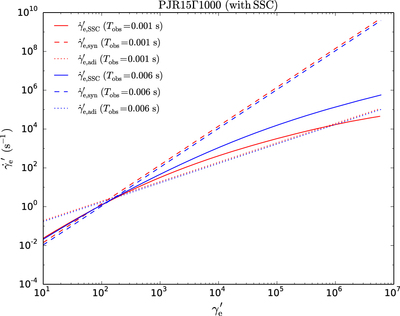
Caption: Figure 4.

Comoving cooling rates of different cooling mechanisms for the electrons with the energy distribution in calculation PJR15Γ1000. The cooling rates at two epochs (0.001 s, red; 0.006 s, blue) are shown, and the SSC, synchrotron, and adiabatic cooling mechanisms are illustrated as the solid, dashed, and dotted lines, respectively. In this case, the cooling of electrons with ﹩{\gamma }_{{\rm{e}}}^{{\prime} }\gt {10}^{2}﹩ is dominated by synchrotron radiation, whereas electrons with ﹩{\gamma }_{{\rm{e}}}^{{\prime} }\lt {10}^{2}﹩ are mainly cooled by adiabatic cooling.

Other Images in This Article

Show More

Copyright and Terms & Conditions