Image Details

Choose export citation format:

Stability of Multiplanet Systems through Hot Jupiter Destruction

  • Authors: Donald Liveoak, Tim Hallatt, Sarah Millholland

Donald Liveoak et al 2026 The Astrophysical Journal Letters 1002 .

  • Provider: AAS Journals

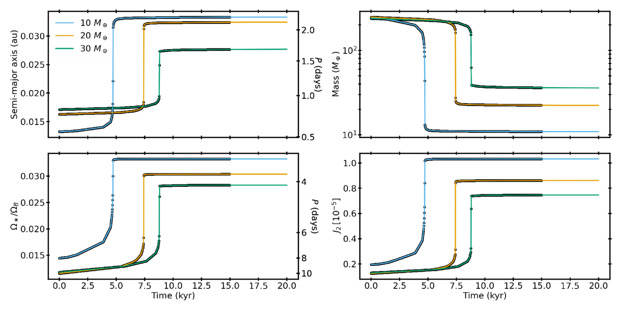
Caption: Figure 1.

Hot Jupiter Roche lobe overflow evolution tracks, as computed by T. Hallatt & S. Millholland (2026; black data) and our implementation in REBOUND (colored data points). Blue, orange, and green data points correspond to hot Jupiters containing 10, 20, and 30 M cores, respectively, which end mass transfer at differing periods and masses (for our choice of initial planet entropy 8kB/mH, where kB is Boltzmann’s constant and mH the hydrogen mass; see T. Hallatt & S. Millholland 2026). Our hot Jupiter evolution tracks begin immediately before catastrophic mass loss to save computation time by avoiding the slow tidal decay phase (﹩\dot{a}\lt 0﹩). Top left: orbital semimajor axis evolution (mapped to orbital period on right axis). Top right: mass evolution. Bottom left: stellar rotation frequency evolution (relative to breakup; mapped to rotation period on right axis). Bottom right: stellar quadrupole moment evolution. Our REBOUND implementation accurately reproduces the mass, stellar spin, and orbital evolution of hot Jupiters undergoing “lossy” Roche lobe overflow.

Other Images in This Article
Copyright and Terms & Conditions

Additional terms of reuse