Image Details

Choose export citation format:

Phosphine Depletion in Brown Dwarf Atmospheres Explained due to Metal Phosphide Formation

  • Authors: Rongzhang Yin, Yan Li, Yanzhang Li, Sara Seager

Rongzhang Yin et al 2026 The Astrophysical Journal Letters 1002 .

  • Provider: AAS Journals

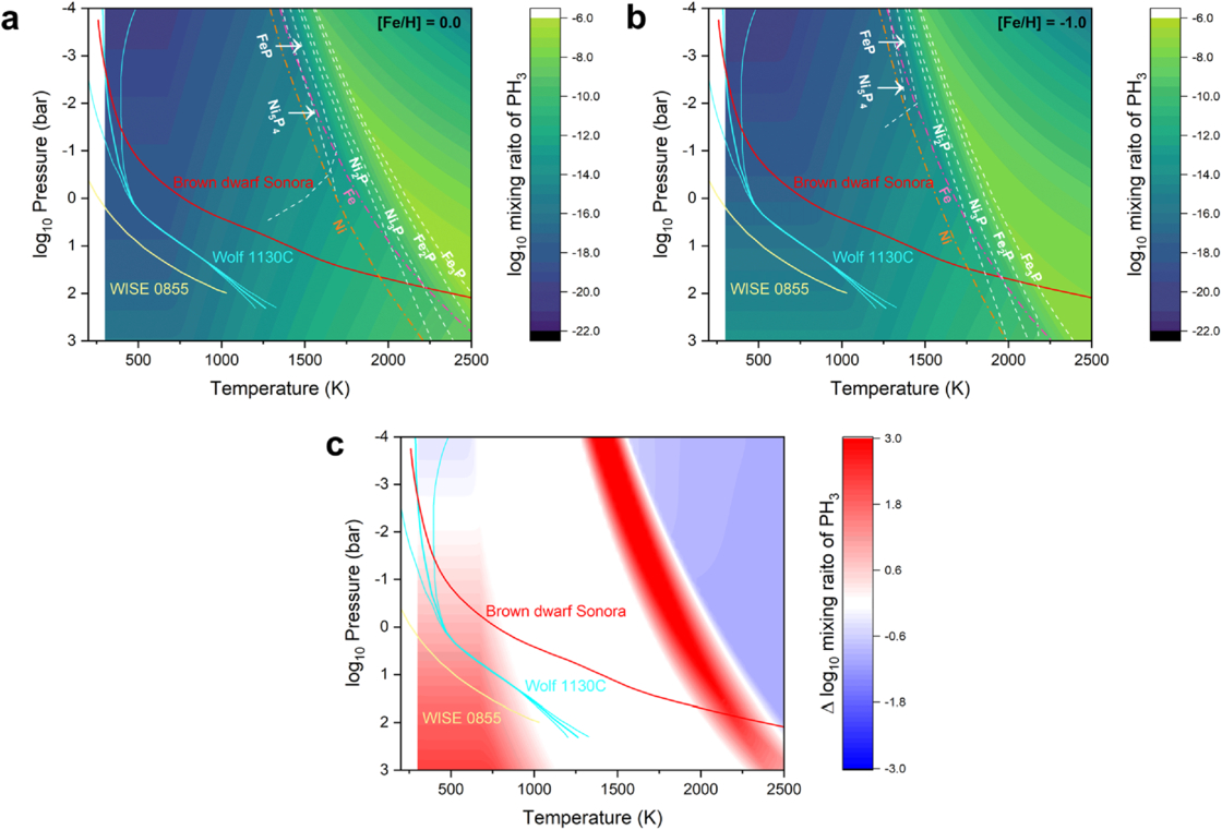
Caption: Figure 3.

Comparison of predicted PH3 equilibrium abundance at high- and low-metallicity atmosphere. (a) Predicted PH3 equilibrium abundance at high-metallicity atmosphere with [Fe/H] = 0.0. (b) Predicted PH3 equilibrium abundance at low-metallicity atmosphere with [Fe/H] = −1.0. (c) Logarithmic difference of predicted PH3 equilibrium abundance for [Fe/H] = −1.0 to [Fe/H] = 0.0. The red area represents the relative enrichment of PH3, and the blue area represents the relative depletion of PH3. All other symbols and curves are the same as those in Figure 2.

Other Images in This Article
Copyright and Terms & Conditions

Additional terms of reuse