Image Details

Choose export citation format:

A Formation Crisis of Repeating Partial Tidal Disruption Events

  • Authors: Zhen Pan, Dong Lai

Zhen Pan and Dong Lai 2026 The Astrophysical Journal Letters 1002 .

  • Provider: AAS Journals

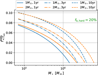
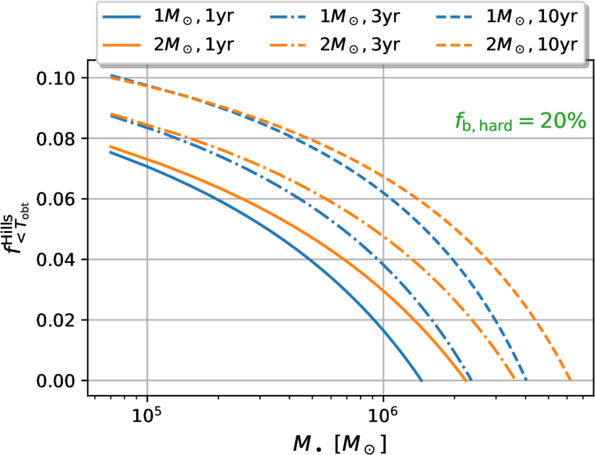
Caption: Figure 7.

Fraction of rpTDEs ﹩{f}_{\lt {T}_{{\rm{obt}}}}^{{\rm{Hills}}}({M}_{\bullet })﹩ as a function of SMBH mass for Tobt ∈ {1, 3, 10} yr contributed by binary disruptions and calculated from Equation (38), assuming that a fraction fb,hard = 20% of stars are in hard binaries.

Other Images in This Article
Copyright and Terms & Conditions

Additional terms of reuse