Image Details

Choose export citation format:

A Formation Crisis of Repeating Partial Tidal Disruption Events

  • Authors: Zhen Pan, Dong Lai

Zhen Pan and Dong Lai 2026 The Astrophysical Journal Letters 1002 .

  • Provider: AAS Journals

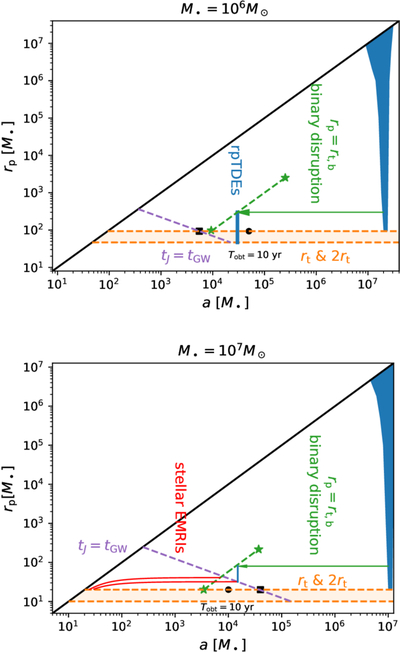
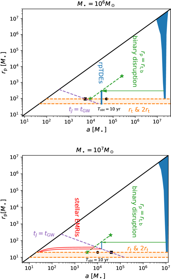
Caption: Figure 6.

Schematic plot of binary disruption and the subsequent evolution of the captured star. A binary is disrupted by the central SMBH when the binary approaches rt,b, with one of the two stars being ejected and the other being captured. In rpa phase space, the captured star is deposited at the green dashed line, where the two ⋆ symbols denote the upper and the lower limits [Equation (36)], respectively. Depending on the initial separation of the binary, the captured star faces two possible fates: rpTDE or stellar EMRI. In the upper panel (for M = 106 M), the captured stars are in the two-body-scattering-dominated regime [Equation (34)], where those with aGW < a < a10yr finally end as observable rpTDEs. In the lower panel (M = 107 M), the captured stars with Tobt < 10 yr are in the GW-emission-dominated regime (a10yr < aGW), where those with rp ≈ 2rt start the rpTDE phase immediately after the binary disruption, while others gradually circularize and end as stellar EMRIs.

Other Images in This Article
Copyright and Terms & Conditions

Additional terms of reuse