Image Details

Choose export citation format:

The Arc in the DX Cha Circumbinary System: Evidence for a Retrograde Circumbinary Disk

  • Authors: Cheng Chen, Daniela Paz Iglesias, James M. Miley, C. J. Nixon

Cheng Chen et al 2026 The Astrophysical Journal Letters 1001 .

  • Provider: AAS Journals

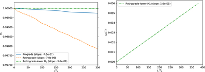
Caption: Figure 8.

Left: ab vs. Tb for prograde (blue), retrograde (orange dashed), and retrograde with the lower Md (green dotted–dashed) cases. The slopes in the legend indicate the ﹩\dot{{a}_{{\rm{b}}}}﹩ rates for three simulations. Right: Time evolution of ωb for the retrograde disk simulation.

Other Images in This Article
Copyright and Terms & Conditions

Additional terms of reuse