Image Details

Choose export citation format:

The Arc in the DX Cha Circumbinary System: Evidence for a Retrograde Circumbinary Disk

  • Authors: Cheng Chen, Daniela Paz Iglesias, James M. Miley, C. J. Nixon

Cheng Chen et al 2026 The Astrophysical Journal Letters 1001 .

  • Provider: AAS Journals

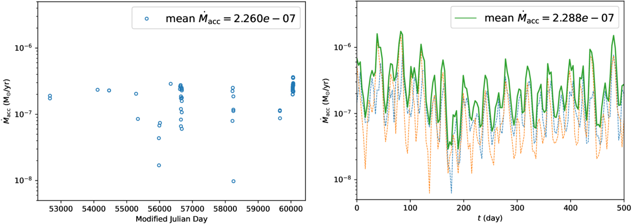
Caption: Figure 7.

Left: the fitting results of ﹩{\dot{M}}_{{\rm{acc}}}﹩ of DX Cha across the 93 epochs shown as empty circles. Right: the new ﹩{\dot{M}}_{{\rm{acc}}}﹩ of DX Cha with the time in our simulations after we reduce the disk mass in our model from the original value given in the setup (Section 2) by a factor of ≈200. The blue and orange dashed lines represent ﹩{\dot{M}}_{{\rm{acc}}}﹩ of the primary and the secondary of DX Cha in the retrograde simulation, respectively. The green line is the total ﹩{\dot{M}}_{{\rm{acc}}}﹩.

Other Images in This Article
Copyright and Terms & Conditions

Additional terms of reuse