Image Details

Choose export citation format:

Evidence for a Delayed Ultraviolet Counterpart to X-Ray Quasiperiodic Eruptions in Ansky

  • Authors: Hengxiao Guo, Zhen Yan, Ya-Ping Li, Joheen Chakraborty, Paula Sánchez-Sáez, Lorena Hernández-García, Wenda Zhang, Jingbo Sun, Shuang-Liang Li, Hongping Deng, Wenwen Zuo, Hiromichi Tagawa, Xin Pan, Minghao Zhang, Patricia Arévalo, Paulina Lira, Chichuan Jin, Minfeng Gu

Hengxiao Guo et al 2026 The Astrophysical Journal Letters 1000 .

  • Provider: AAS Journals

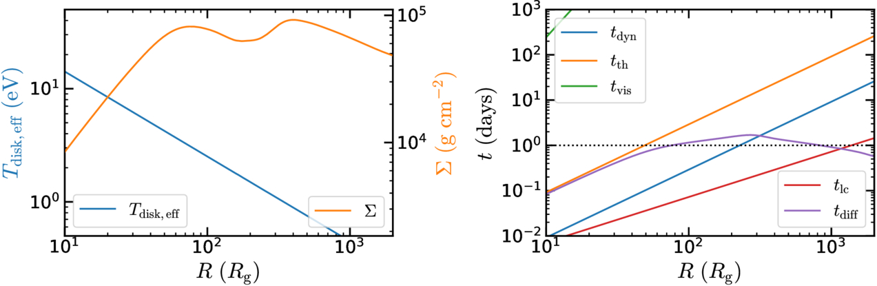
Caption: Figure 3.

Disk profiles (left panel) and different related timescales for the thin-disk model (right panel). The blue line in the left panel shows the disk effective temperature (Tdisk,eff), and the orange line represents the disk surface density Σ with an SMBH mass of MBH = 5 × 106M, disk viscosity α = 0.1, and accretion rate ﹩\dot{m}=0.03﹩. Lines of different colors in the right panel represent the dynamical, thermal, viscous, light-crossing, and diffusion timescales calculated using the same set of parameters. The observed delay time ∼1 day is shown as the dotted line in the bottom panel.

Other Images in This Article
Copyright and Terms & Conditions

Additional terms of reuse