Image Details

Choose export citation format:

Probing Small-scale Dark Matter Clumping with the Large-scale 21 cm Power Spectrum

  • Authors: Sudipta Sikder, Hyunbae Park, Rennan Barkana, Naoki Yoshida, Anastasia Fialkov

Sudipta Sikder et al 2026 The Astrophysical Journal Letters 1000 .

  • Provider: AAS Journals

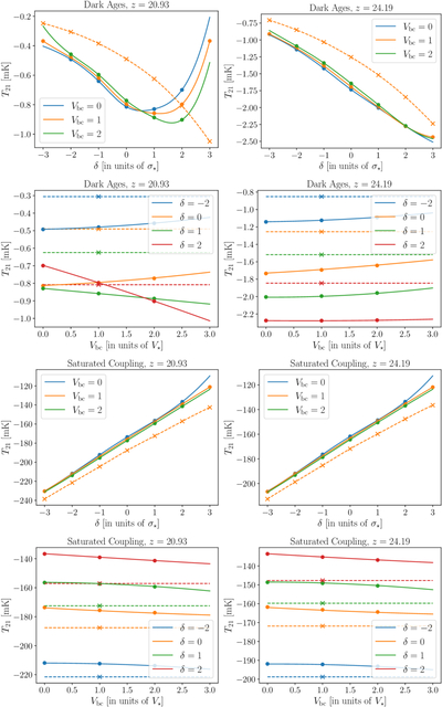
Caption: Figure 5.

Examples of the dependence of T21 on δ and Vbc (each in units of its cosmic standard deviation; see Section 2.1). The points show the outputs of the hydrodynamical simulations, and the curves show our interpolation. We show the case with clumping (solid curves) and without, i.e., uniform simulation boxes without small-scale fluctuations (dashed curves); the latter case is independent of Vbc and the values are shown as Vbc = 1.

Other Images in This Article
Copyright and Terms & Conditions

Additional terms of reuse