Image Details

Choose export citation format:

Probing Small-scale Dark Matter Clumping with the Large-scale 21 cm Power Spectrum

  • Authors: Sudipta Sikder, Hyunbae Park, Rennan Barkana, Naoki Yoshida, Anastasia Fialkov

Sudipta Sikder et al 2026 The Astrophysical Journal Letters 1000 .

  • Provider: AAS Journals

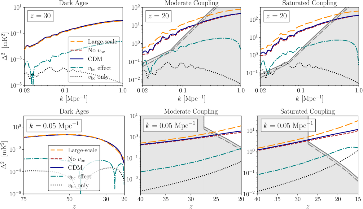
Caption: Figure 3.

Top panels: 21 cm power spectrum as a function of k for the CDM (solid) and large-scale fluctuation (long-dashed) cases (repeated from the top panels of Figure 1, but shown here only down to k = 0.02 Mpc−1), along with the no vbc (short-dashed), vbc effect (dotted–dashed, shown in absolute value), and vbc only (dotted) cases (see text). Results are shown for the Dark Ages at z = 30, and for moderate coupling and saturated coupling at z = 20. The panels with coupling show the z = 20 sensitivity for SKA AA (solid gray line and corresponding shaded area) and SKA AA4 (dotted–dashed gray line). We note that the precise output redshifts that we use from the numerical simulations are 19.46 and 30.00 (which we loosely refer to as 20 and 30). The vbc effect is positive in the coupling cases, and for the Dark Ages case it is positive in the k range [0.026, 0.028] and negative otherwise. Bottom panels: 21 cm power spectrum as a function of z for the CDM and large-scale fluctuation cases (repeated from the top panels of Figure 2), as well as the no vbc, vbc effect, and vbc only cases. We consider the Dark Ages, moderate coupling, and saturated coupling scenarios, all at k = 0.05 Mpc−1. The panels with coupling show the k = 0.05 Mpc−1 sensitivity for SKA AA and SKA AA4. The styles of the cases and sensitivities are the same as in the top panels. The vbc effect is positive in the coupling cases, and for the Dark Ages case it is positive in the z ranges [20.17, 25.19] and [43.88, 75], and negative otherwise. Note: in this figure, all cases are calculated with a 2563 large-scale grid, unlike the previous two figures, which use 5123.

Other Images in This Article
Copyright and Terms & Conditions

Additional terms of reuse