Image Details

Choose export citation format:

Probing Small-scale Dark Matter Clumping with the Large-scale 21 cm Power Spectrum

  • Authors: Sudipta Sikder, Hyunbae Park, Rennan Barkana, Naoki Yoshida, Anastasia Fialkov

Sudipta Sikder et al 2026 The Astrophysical Journal Letters 1000 .

  • Provider: AAS Journals

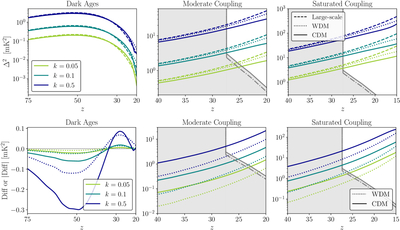
Caption: Figure 2.

Top panels: the 21 cm power spectrum as a function of z at k = 0.05, 0.1, and 0.5 Mpc−1. We show the same models and cases as in Figure 1: CDM (solid), WDM-like (dotted), and large-scale (dashed), for Dark Ages, moderate coupling, and saturated coupling. Bottom panels: the difference “Diff” in Δ2 due to clumping. Panels with coupling show ∣−Diff∣, and also show the k = 0.05 Mpc−1 sensitivity for SKA AA (solid gray line and the corresponding shaded area) and SKA AA4 (dotted–dashed gray line).

Other Images in This Article
Copyright and Terms & Conditions

Additional terms of reuse