Image Details

Choose export citation format:

The Most Luminous Known Fast Blue Optical Transient AT 2024wpp: Unprecedented Evolution and Properties in the Ultraviolet to the Near-infrared

  • Authors: Natalie LeBaron, Raffaella Margutti, Ryan Chornock, Nayana A. J., Olivia Aspegren, Wenbin Lu, Brian D. Metzger, Daniel Kasen, Thomas G. Brink, Sergio Campana, Paolo D'Avanzo, Jakob T. Faber, Matteo Ferro, Alexei V. Filippenko, Ryan J. Foley, Xinze Guo, Erica Hammerstein, Saurabh W. Jha, Charles D. Kilpatrick, Giulia Migliori, Dan Milisavljevic, Kishore C. Patra, Huei Sears, Jonathan J. Swift, Samaporn Tinyanont, Vikram Ravi, Yuhan Yao, Kate D. Alexander, Prasiddha Arunachalam, Edo Berger, Joe S. Bright, Chuck Cynamon, Kyle W. Davis, Braden Garretson, Puragra Guhathakurta, Wynn V. Jacobson-Galán, D. O. Jones, Ravjit Kaur, Stefan Kimura, Tanmoy Laskar, Morgan Nuñez, Michaela Schwab, Monika D. Soraisam, Nao Suzuki, Kirsty Taggart, Eli Wiston, Yi Yang, WeiKang Zheng

Natalie LeBaron et al 2026 The Astrophysical Journal Letters 997 .

  • Provider: AAS Journals

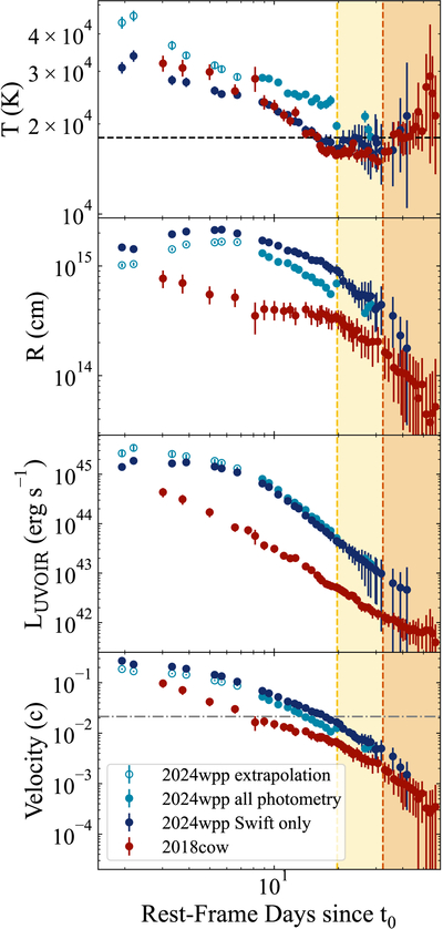
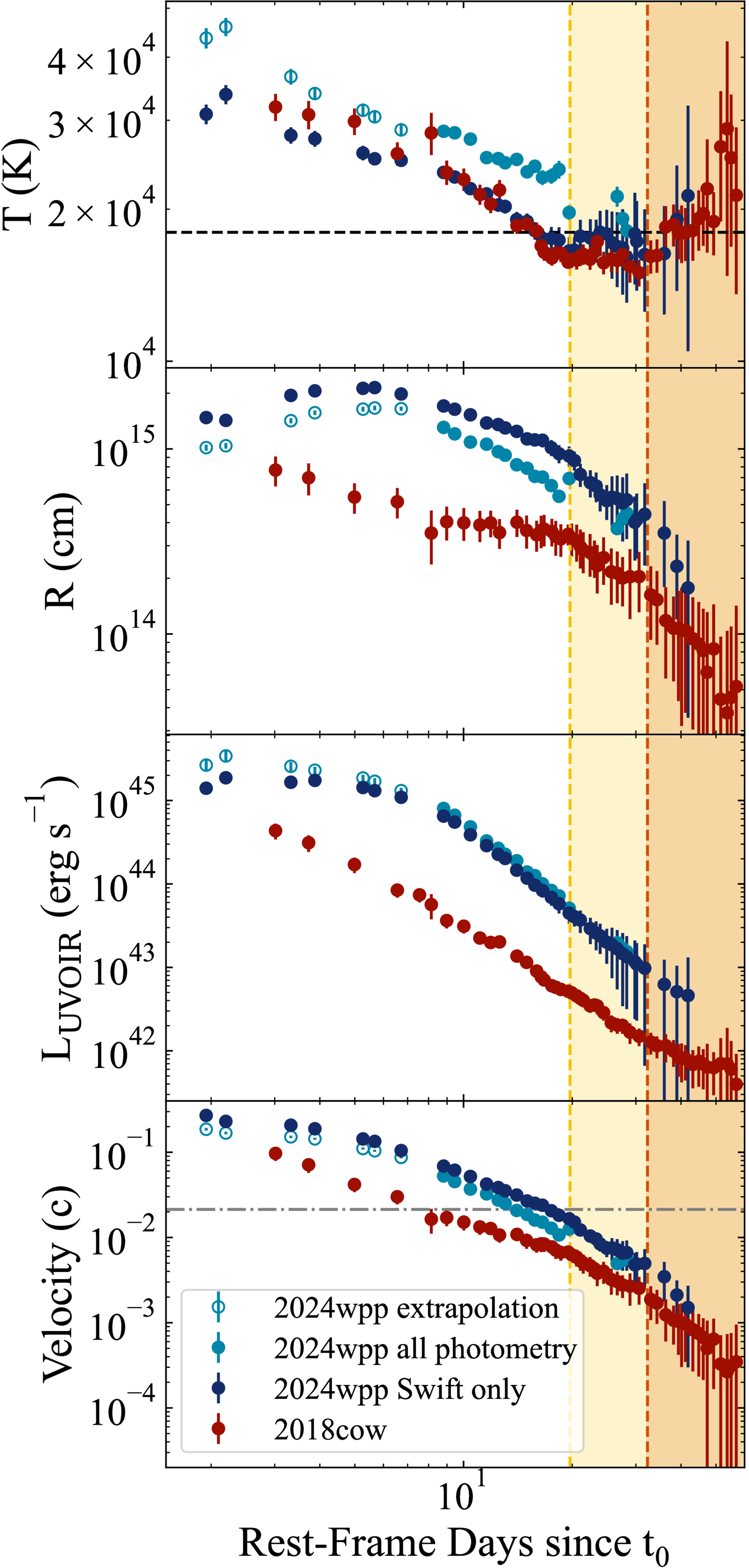
Caption: Figure 5.

Temporal evolution of the best-fitting blackbody temperature T, radius R, bolometric luminosity LUVOIR, and blackbody expansion velocity of AT 2024wpp (shades of blue) compared to AT 2018cow (red) from R. Margutti et al. (2019). Dark (light) blue filled points: results from the Swift (Swift+LCO+Gemini) photometry. Open circles assume the color extrapolation presented in Figure 13 for w1—r and w1—i between days +2 and +7 from t0. AT 2024wpp reaches T > 30,000 K (potentially as high as ≳40, 000 K), and similarly to AT 2018cow, the T plateaus at late times around T ≈ 20,000 K (horizontal dashed black line in the top panel). Yellow and orange shaded areas indicate the time of emergence of spectroscopic features in AT 2018cow and AT 2024wpp, respectively. The horizontal gray dashed–dotted line marks a velocity of ∼6400 km s−1, which corresponds to the observed blueshift velocity of spectroscopic features that emerge between +16 and +30 days (see Figure 2).

Other Images in This Article

Show More

Copyright and Terms & Conditions

Additional terms of reuse