Image Details

Choose export citation format:

Photon Orbit Signatures in Spectra of Black Hole Accretion Disks

  • Authors: Daniel C. M. Palumbo, George N. Wong, Angelo Ricarte

Daniel C. M. Palumbo et al 2025 The Astrophysical Journal Letters 994 .

  • Provider: AAS Journals

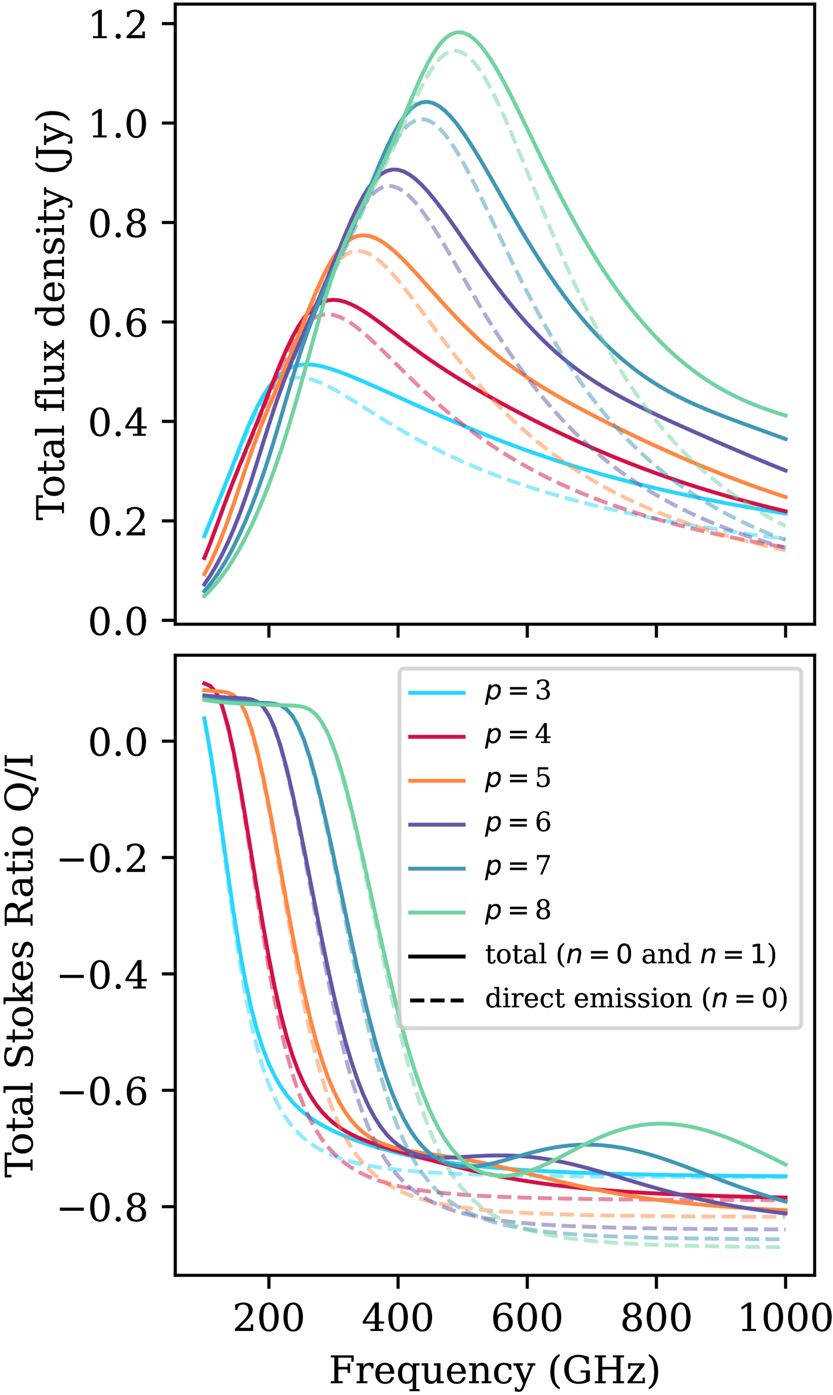
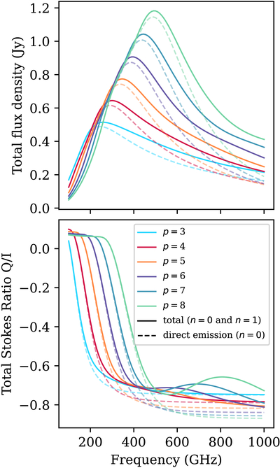
Caption: Figure 3.

Survey of power-law index p for the direct and indirect image magnetic field incidence angles θB,0 = 15° and θB,1 = 45° as shown in Figure 2. Steeper power laws increase the relative contribution of the photon ring, leading to substructure in the spectrum of the polarization fraction.

Other Images in This Article
Copyright and Terms & Conditions

Additional terms of reuse