Image Details

Choose export citation format:

Separating Flare and Secondary Atmospheric Signals with RADYN Modeling of Near-infrared JWST Transmission Spectroscopy Observations of TRAPPIST-1

  • Authors: Ward S. Howard, Adam F. Kowalski, Michael Radica, Laura Flagg, Valeriy Vasilyev, Benjamin V. Rackham, Guadalupe Tovar Mendoza, Meredith A. MacGregor, Alexander I. Shapiro, Jake Taylor, Louis-Philippe Coulombe, Olivia Lim, David Lafrenière

Ward S. Howard et al 2025 The Astrophysical Journal Letters 994 .

  • Provider: AAS Journals

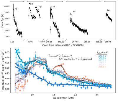
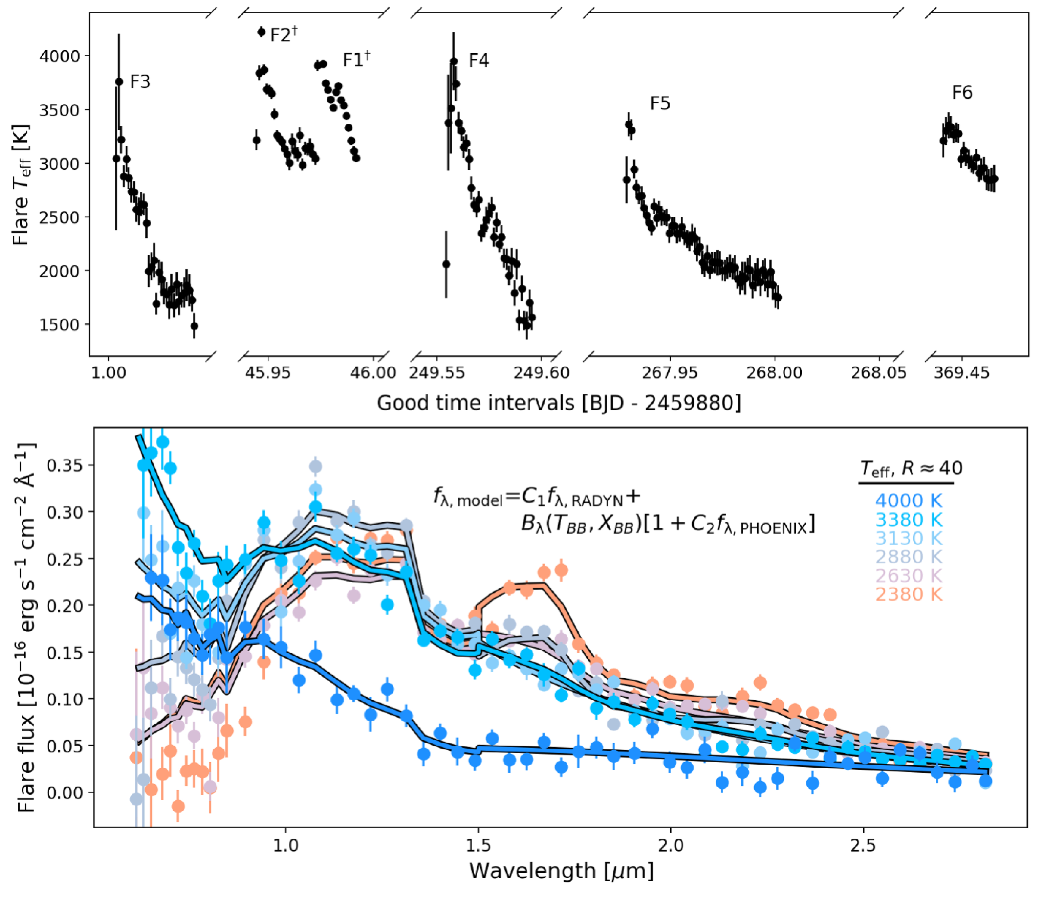
Caption: Figure B2.

Top: flare Teff time series for all 189 integrations in our GTI sample. Bottom: combined RADYN and quiescent fits for a range of fiducial flare temperatures. We note the addition of the PHOENIX component is not intended to claim these features are physically correlated with the RADYN continuum, only that the combined fit better describes the flare spectrum when quiescent bleed-through is present.

Other Images in This Article
Copyright and Terms & Conditions

Additional terms of reuse