Image Details

Choose export citation format:

Angle-dependent in Situ Fast Flavor Transformations in Post-neutron-star-merger Disks

  • Authors: Kelsey A. Lund, Payel Mukhopadhyay, Jonah M. Miller, G. C. McLaughlin

Kelsey A. Lund et al 2025 The Astrophysical Journal Letters 985 .

  • Provider: AAS Journals

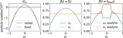
Caption: Figure 6.

One-zone oscillation problem demonstrating efficacy of our scheme. Central panel shows angular distribution of electron and heavy neutrinos. Right panel shows final configuration, overlaid with the analytic solution. Left panel shows initial and final values of Gν. We initialize a neutrino field with a crossing, and our approach removes the crossing while conserving integrated Gν.

Other Images in This Article
Copyright and Terms & Conditions

Additional terms of reuse