Image Details

Choose export citation format:

Angle-dependent in Situ Fast Flavor Transformations in Post-neutron-star-merger Disks

  • Authors: Kelsey A. Lund, Payel Mukhopadhyay, Jonah M. Miller, G. C. McLaughlin

Kelsey A. Lund et al 2025 The Astrophysical Journal Letters 985 .

  • Provider: AAS Journals

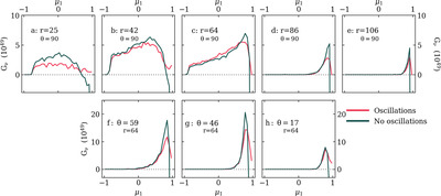
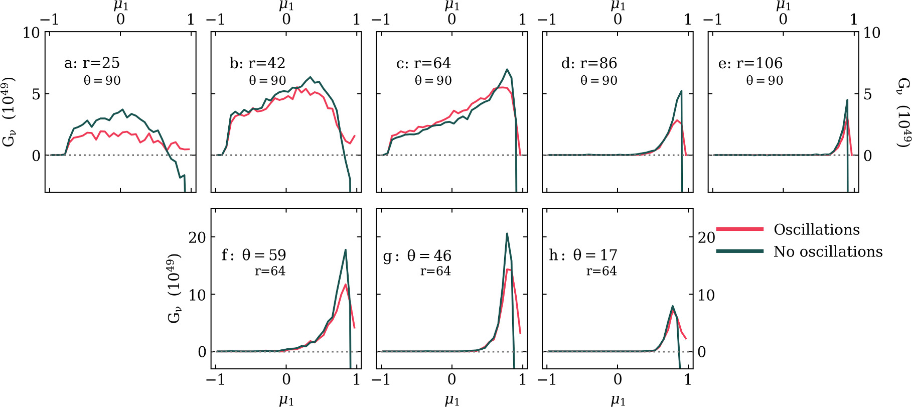
Caption: Figure 3.

Gν recorded at 11 ms, as a function of the angle μ1, representing the projection of the neutrino wavevector ﹩{\boldsymbol{k}}﹩ onto the radial unit vector ﹩\hat{r}﹩, as described in Equation (A1). Results for two simulations with (pink) and without (teal) oscillations are shown. The radial and polar angle coordinates corresponding to each location are indicated in the top-left corner of each panel (see Figure 2). FFCs erase ELN–XLN crossings by eliminating the shallower side of the crossing (smaller integral) while conserving the energy-integrated Gν, consistent with expectations.

Other Images in This Article
Copyright and Terms & Conditions

Additional terms of reuse