Image Details

Choose export citation format:

The Formation Rate and Luminosity Function of Fast Radio Bursts

  • Authors: J. H. Chen, X. D. Jia, X. F. Dong, F. Y. Wang

J. H. Chen et al 2024 The Astrophysical Journal Letters 973 .

  • Provider: AAS Journals

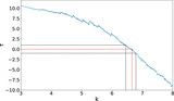
Caption: Figure 2.

Nonevolving luminosity L 0 = L/(1 + z)6.66 of 439 FRBs. The blue dots represent FRBs, and the blue solid line represents the observational limit considering the impact of k.

Other Images in This Article
Copyright and Terms & Conditions

Additional terms of reuse