Image Details

Choose export citation format:

The Formation Rate and Luminosity Function of Fast Radio Bursts

  • Authors: J. H. Chen, X. D. Jia, X. F. Dong, F. Y. Wang

J. H. Chen et al 2024 The Astrophysical Journal Letters 973 .

  • Provider: AAS Journals

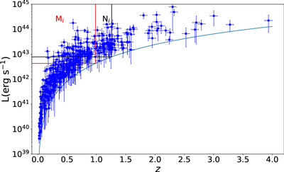
Caption: Figure 1.

Luminosity–redshift distribution of FRBs. The blue dots represent FRBs, and the blue solid line is the flux limit of 0.2 Jy. The error bars are derived by flux errors in CHIME catalog 1. M i is shown in the red rectangle, and N i is shown in the black rectangle.

Other Images in This Article
Copyright and Terms & Conditions

Additional terms of reuse