Image Details

Choose export citation format:

The Emission Properties of RRAT J0139+3336 at 1.25 GHz

  • Authors: Jintao Xie, Jingbo Wang, Na Wang, Feifei Kou, Shuangqiang Wang, Shengnan Sun

Jintao Xie et al 2022 The Astrophysical Journal Letters 940 .

  • Provider: AAS Journals

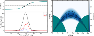
Caption: Figure 6.

Left: the polarization profile at 1.25 GHz, including total intensity (black curve), linear polarization (red curve), and circular polarization (blue curve). Upper panel shows the linear polarization position angle in degrees, and green curve represents the fitting result using RVM model. Right: the results of fitting an RVM curve for each (α, β) combination. The reduced chi-squared of the fit is expressed in terms of color depth, with darker blue values corresponding to a better fit. The black contours correspond to 1σ−, 2σ−, and 3σ confidence boundaries. The green areas indicate the constraints given according to certain theoretical assumptions and observed parameters.

Other Images in This Article
Copyright and Terms & Conditions

Additional terms of reuse