Image Details

Choose export citation format:

Evolution of the Earth’s Magnetosheath Turbulence: A Statistical Study Based on MMS Observations

  • Authors: Hui Li, Wence Jiang, Chi Wang, Daniel Verscharen, Chen Zeng, C. T. Russell, B. Giles, and J. L. Burch

2020 The Astrophysical Journal Letters 898 L43.

  • Provider: AAS Journals

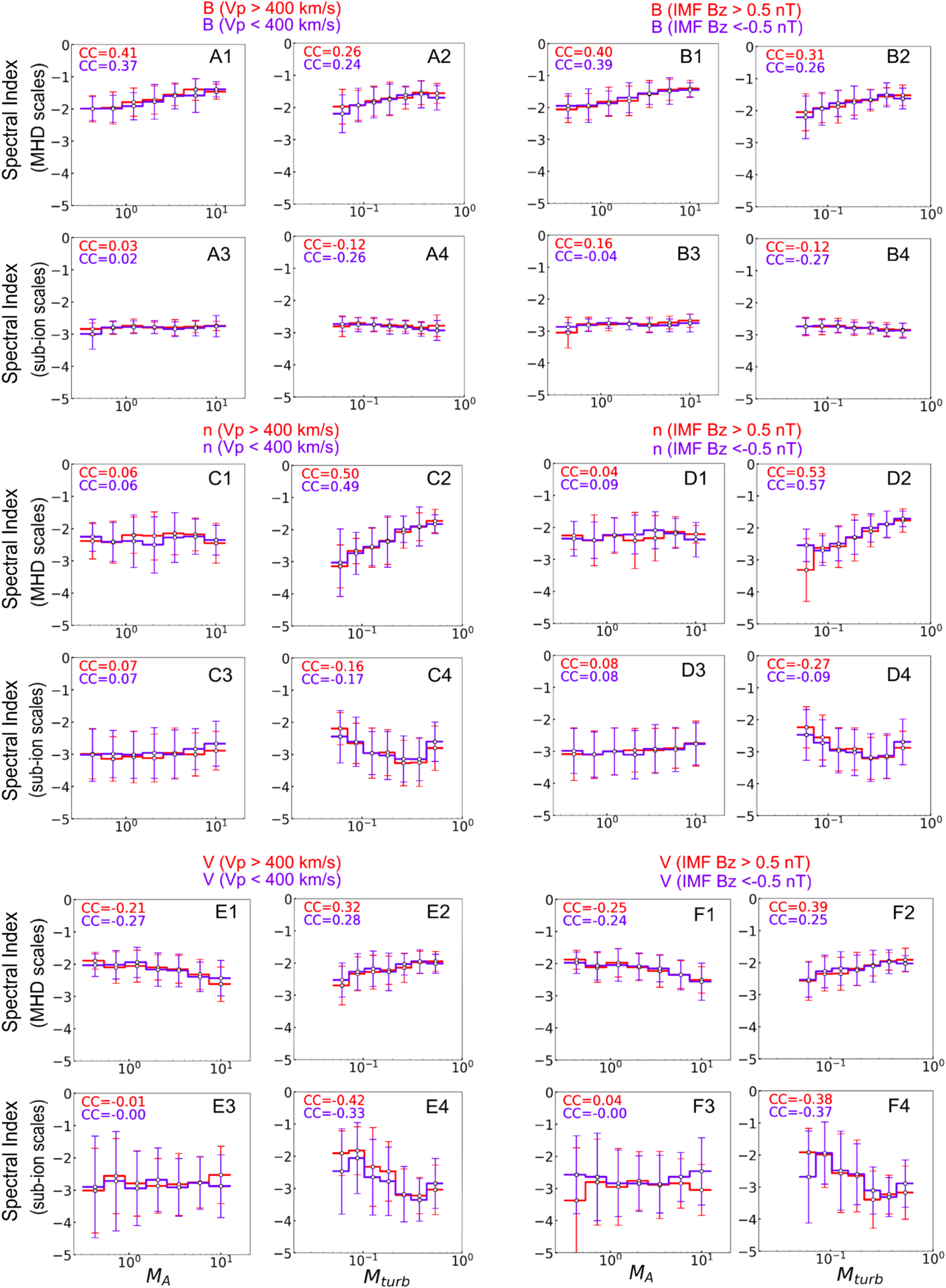
Caption: Figure 5.

Comparisons of the relations between the turbulence spectral indices and ﹩{M}_{{\rm{A}}}﹩, ﹩{M}_{\mathrm{turb}}﹩ for different upstream solar wind conditions, such as the averaged z-component of interplanetary magnetic field (IMF Bz) and the solar wind speed (Vp).

Other Images in This Article
Copyright and Terms & Conditions