Image Details

Choose export citation format:

Energy Transport and Heating by Nonthermal Electrons in a Turbulent Solar Flare Environment

  • Authors: A. Gordon Emslie, Eduard P. Kontar

A. Gordon Emslie and Eduard P. Kontar 2026 The Astrophysical Journal 1001 .

  • Provider: AAS Journals

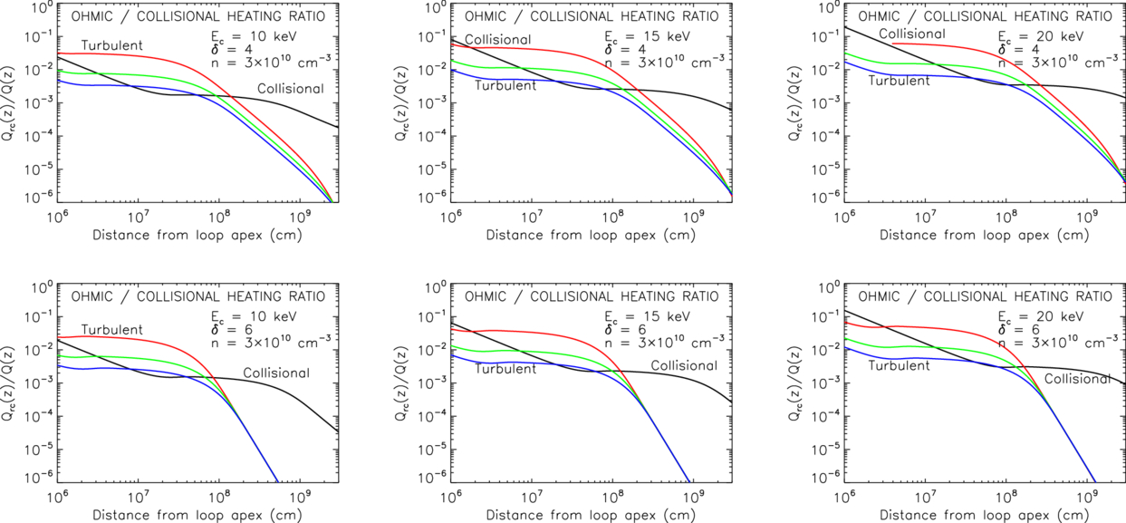
Caption: Figure 4.

Ratio of ohmic to collisional heating Qrc/Q. The solid line shows the results for collisional scattering, and the other lines show the results for turbulent scattering, with a turbulent scattering length λT equal to 0.1× (red), 0.2× (green), and 0.3× (blue) the collisional mean free path of 7 × 107 cm. The ratio is ≪1 at all positions in the target in all cases.

Other Images in This Article
Copyright and Terms & Conditions

Additional terms of reuse