Image Details

Choose export citation format:

Energy Transport and Heating by Nonthermal Electrons in a Turbulent Solar Flare Environment

  • Authors: A. Gordon Emslie, Eduard P. Kontar

A. Gordon Emslie and Eduard P. Kontar 2026 The Astrophysical Journal 1001 .

  • Provider: AAS Journals

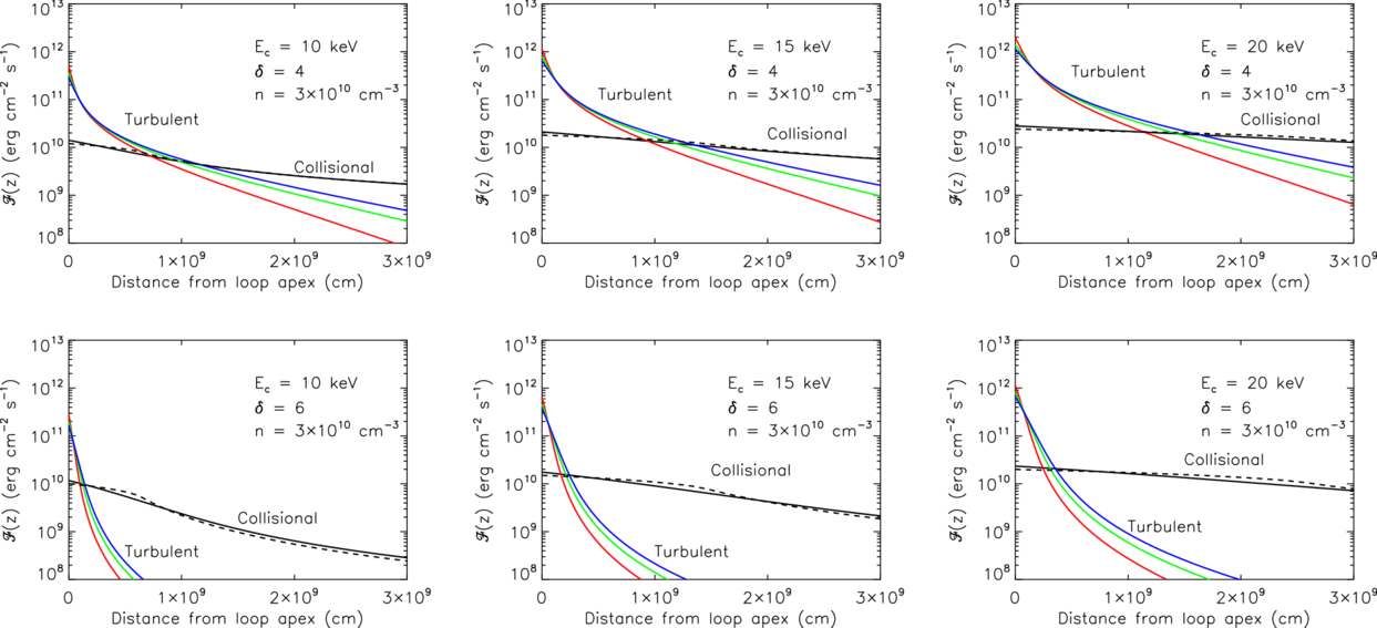
Caption: Figure 1.

Energy flux ﹩{ \mathcal F }(z)﹩ versus distance z from the (loop-top) acceleration region. The solid line shows the results for collisional scattering, with the dashed line showing the behavior in the nondiffusive approach. The other lines show the results for turbulent scattering, with a turbulent scattering length λT equal to 0.1× (red), 0.2× (green), and 0.3× (blue) the collisional mean free path of 7 × 107 cm.

Other Images in This Article
Copyright and Terms & Conditions

Additional terms of reuse