Image Details

Choose export citation format:

Structure-wide Dark Matter Density Depletion Induced by Local Degeneracies

  • Authors: Yifei Yang, Weikang Lin

Yifei Yang and Weikang Lin 2026 The Astrophysical Journal 1001 .

  • Provider: AAS Journals

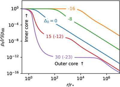
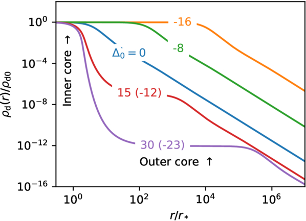
Caption: Figure 1.

Halo density profiles normalized by the central density. Curves are labeled by the central degree of degeneracy Δ0. The double-core feature can be clearly seen for profiles with Δ0 > 0. When an outer core appears, the value of Δoc is shown in parentheses.

Other Images in This Article
Copyright and Terms & Conditions

Additional terms of reuse