Image Details

Choose export citation format:

Revisiting the Role of the Streaming Instability for the Cosmic-Ray Spectrum in the GeV-to-TeV Range

  • Authors: Linh Han Thanh, Julien Dörner, Julia Becker Tjus, Horst Fichtner, Elena Amato

Linh Han Thanh et al 2026 The Astrophysical Journal 1001 .

  • Provider: AAS Journals

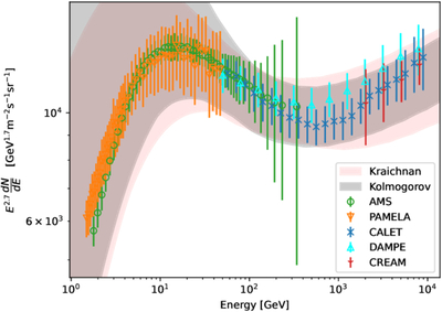
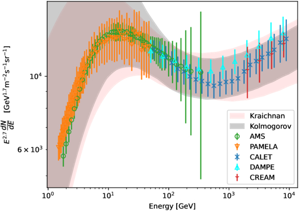
Caption: Figure 7.

The 1σ variation of the likelihood around the overall minimum for the Kolmogorov case (gray) and the Kraichnan case (red) compared to data from AMS-02 (M. Aguilar et al. 2021), PAMELA (O. Adriani et al. 2011), CALET (O. Adriani et al. 2022), DAMPE (Q. An et al. 2019), and CREAM (Y. S. Yoon et al. 2011).

Other Images in This Article
Copyright and Terms & Conditions

Additional terms of reuse