Image Details

Choose export citation format:

Revisiting the Role of the Streaming Instability for the Cosmic-Ray Spectrum in the GeV-to-TeV Range

  • Authors: Linh Han Thanh, Julien Dörner, Julia Becker Tjus, Horst Fichtner, Elena Amato

Linh Han Thanh et al 2026 The Astrophysical Journal 1001 .

  • Provider: AAS Journals

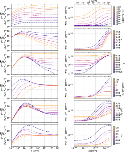
Caption: Figure 4.

Kraichnan. Starting from the default values, the parameters are changed in a similar manner as in Figure 3, with the line styles kept in the same changing order. Again, small vertical lines denote the expected breaks due to the streaming instability.

Other Images in This Article
Copyright and Terms & Conditions

Additional terms of reuse