Image Details

Choose export citation format:

Revisiting the Role of the Streaming Instability for the Cosmic-Ray Spectrum in the GeV-to-TeV Range

  • Authors: Linh Han Thanh, Julien Dörner, Julia Becker Tjus, Horst Fichtner, Elena Amato

Linh Han Thanh et al 2026 The Astrophysical Journal 1001 .

  • Provider: AAS Journals

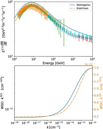
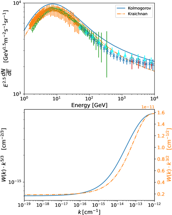
Caption: Figure 2.

Comparison of the cosmic-ray fluxes (top) and wave spectra (bottom) obtained with the default parameter sets. In the Kolmogorov case, we choose A = 1036 cm−5 g−3 s2, α = 4.25, η = 0.03, vA = 25 km s−1, B0 = 1.6 μG, ﹩H=4\,\mathrm{kpc},\,\mathrm{and}\,{k}_{0}^{-1}=50\,\mathrm{pc}﹩, whereas for Kraichnan, it is A = 1034.5 cm−5 g−3 s2, α = 4.08, η = 0.04, vA = 1 km s−1, B0 = 1.5 μG, H = 4 kpc, and ﹩{k}_{0}^{-1}=50\,﹩pc.

Other Images in This Article
Copyright and Terms & Conditions

Additional terms of reuse