Image Details

Choose export citation format:

Revisiting the Role of the Streaming Instability for the Cosmic-Ray Spectrum in the GeV-to-TeV Range

  • Authors: Linh Han Thanh, Julien Dörner, Julia Becker Tjus, Horst Fichtner, Elena Amato

Linh Han Thanh et al 2026 The Astrophysical Journal 1001 .

  • Provider: AAS Journals

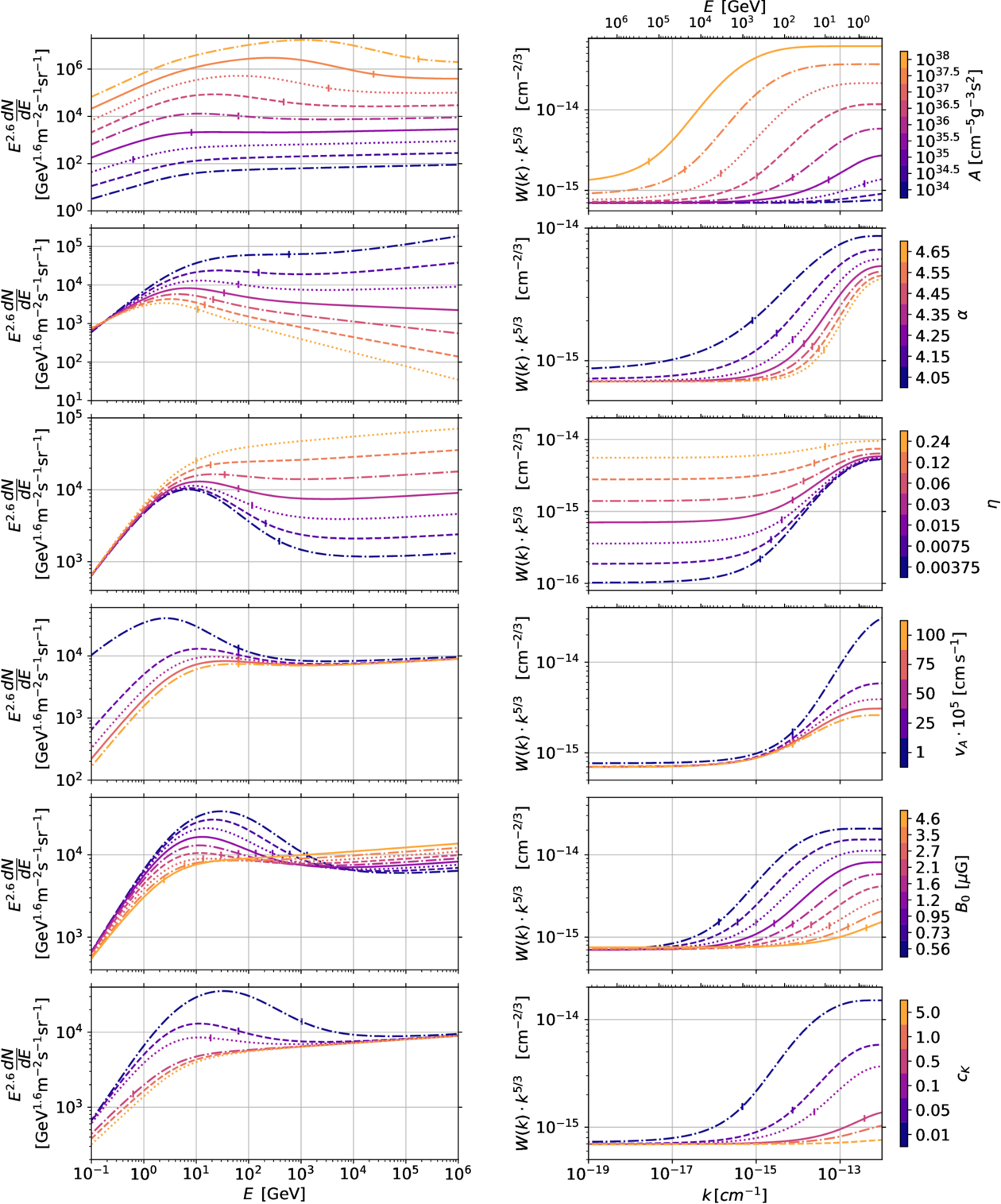
Caption: Figure 3.

Kolmogorov. We vary the model parameters around the default parameter set (as specified in Figure 2), one in each row, while keeping the rest fixed. Line styles change from dashed–dotted, to dashed, to dotted, to solid with increasing parameter value. The energies for the right plots are derived as ﹩E=(\sqrt{1+{(q{B}_{0}/(km{c}^{2}))}^{2}}-1)m{c}^{2}﹩, except for the second-to-last row, where we varied B0. The expected breaks according to Equation (16) are denoted by small vertical lines.

Other Images in This Article
Copyright and Terms & Conditions

Additional terms of reuse