Image Details

Choose export citation format:

Stratification of the Active Galactic Nucleus–Driven Multiphase Outflows in the Dwarf Seyfert Galaxy NGC 4395

  • Authors: Payel Nandi, Luis Colina, Rogemar A. Riffel, Miguel Pereira Santaella, C. S. Stalin, D.J. Saikia, Javier Álvarez-Márquez, Markus Kissler-Patig

Payel Nandi et al 2026 The Astrophysical Journal 1001 .

  • Provider: AAS Journals

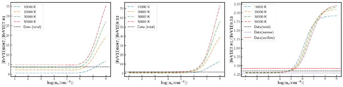
Caption: Figure B1.

Variation in different line ratios with density for different particular temperatures, which represent different curves in each plot, and are denoted by individual legends in each plot. The horizontal line in each plot represents the observed line ratio.

Other Images in This Article

Show More

Copyright and Terms & Conditions

Additional terms of reuse