Image Details

Choose export citation format:

A Three-dimensional Model for the Reversal in the Local Large-scale Interstellar Magnetic Field

  • Authors: Rebecca A. Booth, Anna Ordog, Jo-Anne Brown, T. L. Landecker, Alex S. Hill, Jennifer L. West, Minjie Lei, S. E. Clark, Andrea Bracco, John M. Dickey, Ettore Carretti

Rebecca A. Booth et al 2026 The Astrophysical Journal 997 .

  • Provider: AAS Journals

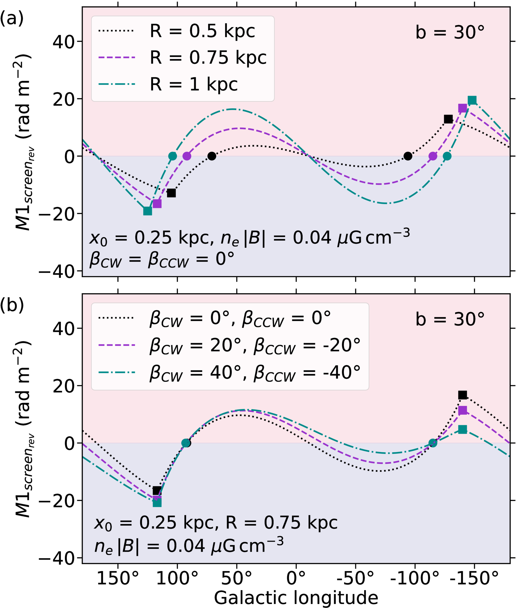
Caption: Figure 11.

A demonstration of how changing the parameters of the planar reversal model adjusts the simulated ﹩{{\rm{M1}}}_{{{\rm{screen}}}_{{\rm{rev}}}}﹩ profiles for Galactic latitude b = 30°. Red and blue shading are included for quick visual identification of the positive and negative peaks. (a) Varying the path length, R, shifts the longitude of the zeros (circles) and peaks (squares) horizontally. (b) Varying the vertical tilt angles, βCW and βCCW, shifts the profiles vertically.

Other Images in This Article

Show More

Copyright and Terms & Conditions

Additional terms of reuse