Image Details

Choose export citation format:

High-resolution Simulations of the Interaction between the Nova/Supernova Ejecta and the Accretion Disk

  • Authors: Axel S. Lechuga, Domingo García-Senz, Jordi José

Axel S. Lechuga et al 2025 The Astrophysical Journal 992 .

  • Provider: AAS Journals

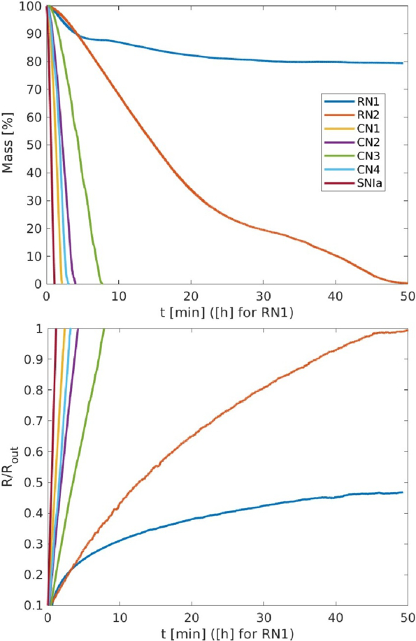
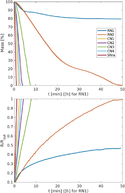
Caption: Figure 7.

Top panel: percentage of remaining mass bound in the accretion disk. Bottom panel: position of the frontal shock of collision.

Other Images in This Article

Show More

Copyright and Terms & Conditions

Additional terms of reuse