Image Details

Choose export citation format:

High-resolution Simulations of the Interaction between the Nova/Supernova Ejecta and the Accretion Disk

  • Authors: Axel S. Lechuga, Domingo García-Senz, Jordi José

Axel S. Lechuga et al 2025 The Astrophysical Journal 992 .

  • Provider: AAS Journals

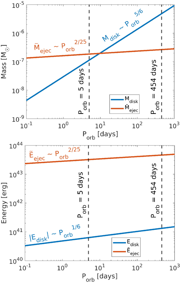
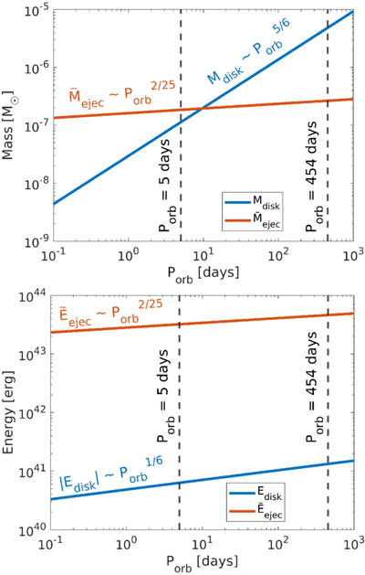
Caption: Figure 5.

Masses and energy of the generated accretion disk and effective ejecta (for models RN1 and RN2) as a function of the orbital period Porb. The disk has lower densities for larger values of Porb, but its total mass increases. Nonetheless, the disk remains thin: the opening angle and, in consequence, ﹩{\tilde{M}}_{\,\rm{ejec}\,}﹩ barely increase. The bottom panel shows the absolute value of Edisk since it mostly corresponds to negative potential binding energy.

Other Images in This Article

Show More

Copyright and Terms & Conditions

Additional terms of reuse