Image Details

Choose export citation format:

High-resolution Simulations of the Interaction between the Nova/Supernova Ejecta and the Accretion Disk

  • Authors: Axel S. Lechuga, Domingo García-Senz, Jordi José

Axel S. Lechuga et al 2025 The Astrophysical Journal 992 .

  • Provider: AAS Journals

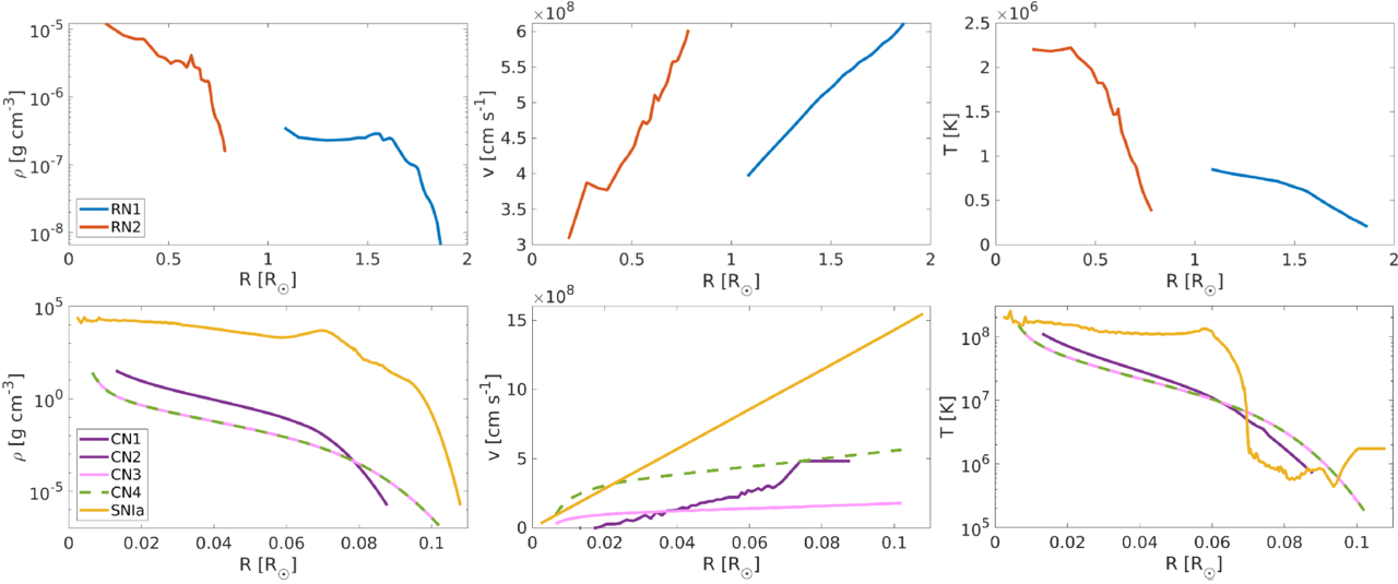
Caption: Figure 2.

Hydrodynamic profiles of the ejecta in the different models computed in this work. Models CN1 and CN2 share the same ejecta and differ only in the properties of their accretion disks.

Other Images in This Article

Show More

Copyright and Terms & Conditions

Additional terms of reuse