Image Details

Choose export citation format:

Origin of the IRAS Vela Shell: New Insights from 3D Dust Mapping

  • Authors: Bore Annie Gao, 般若 高, Catherine Zucker, Tirupati Kumara Sridharan, Cameren Swiggum, Shmuel Bialy, Theo J. O'Neill, J. E. G. Peek, Luciana Bianchi, Robert Benjamin, Lewis McCallum, Alyssa Goodman, João Alves, Charles Lada, Gordian Edenhofer, Rowan Smith, Elizabeth Watkins, Kenneth Wood, Doni Anderson

Bore Annie Gao et al 2025 The Astrophysical Journal 987 .

  • Provider: AAS Journals

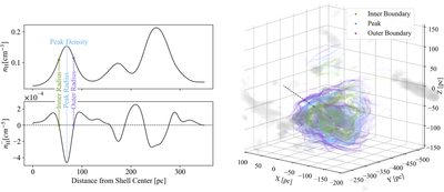
Caption: Figure 2.

Derivation of the IVS shell geometry. Left panels: the top panel displays an example of density profile nH, while the bottom panel shows the second derivative nH, which is used to derive the shell boundaries. Right panel: inner shell radius (green), peak shell radius (blue), and outer shell radius (purple) of the IVS as derived in this work. The dashed line represents an example ray, which corresponds to the density profile shown on the left. For the rays exhibiting multiple peaks, our method (see Equations (2) and (3)) selects the first peak as the shell boundary.

Other Images in This Article
Copyright and Terms & Conditions

Additional terms of reuse