Image Details

Choose export citation format:

A Long-duration Superflare on the K Giant HD 251108

  • Authors: Hans Moritz Günther, Dheeraj Pasham, Alexander Binks, Stefan Czesla, Teruaki Enoto, Michael Fausnaugh, Franz-Josef Hambsch, Shun Inoue, Hiroyuki Maehara, Yuta Notsu, Jan Robrade, J. H. M. M. Schmitt, P. C. Schneider

Hans Moritz Günther et al 2024 The Astrophysical Journal 977 .

  • Provider: AAS Journals

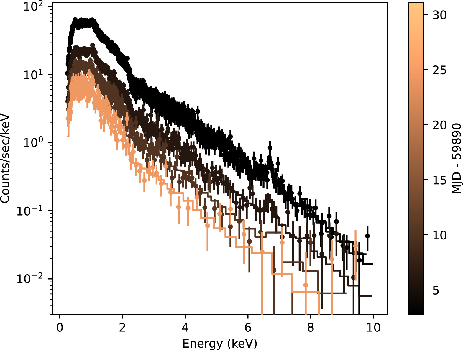
Caption: Figure 8.

Evolution of NICER spectra during the flare; shown are four spectra from one orbit each. Spectra are binned to a minimum of 25 counts bin–1. Colors correspond to the time of the observation.

Other Images in This Article
Copyright and Terms & Conditions

Additional terms of reuse