Image Details

Choose export citation format:

Particle Acceleration by Magnetic Reconnection in Relativistic Jets: The Transition from Small to Large Scales

  • Authors: Tania E. Medina-Torrejón, Elisabete M. de Gouveia Dal Pino, Grzegorz Kowal

Tania E. Medina-Torrejón et al 2023 The Astrophysical Journal 952 .

  • Provider: AAS Journals

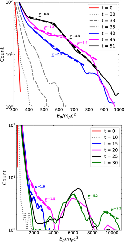
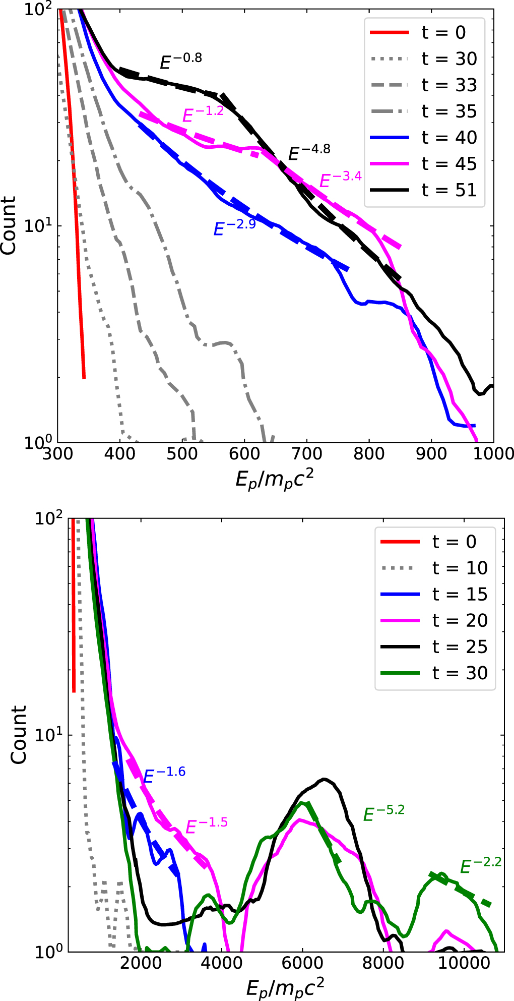
Caption: Figure 7.

Particle energy spectrum evolution as a function of the normalized kinetic energy for the particles evolved in the MHD-PIC simulation for the σ ∼ 1 (top) and σ ∼ 10 (bottom) jet. The solid red line corresponds to the initial distribution. The high-energy tails in more evolved times of the system are fitted by power laws.

Other Images in This Article
Copyright and Terms & Conditions

Additional terms of reuse