Image Details

Choose export citation format:

Variable Outer Disk Shadowing around the Dipper Star RXJ1604.3–2130

  • Authors: P. Pinilla, M. Benisty, J. de Boer, C.F. Manara, J. Bouvier, C. Dominik, C. Ginski, R.A. Loomis, and A. Sicilia Aguilar

2018 The Astrophysical Journal 868 85.

  • Provider: AAS Journals

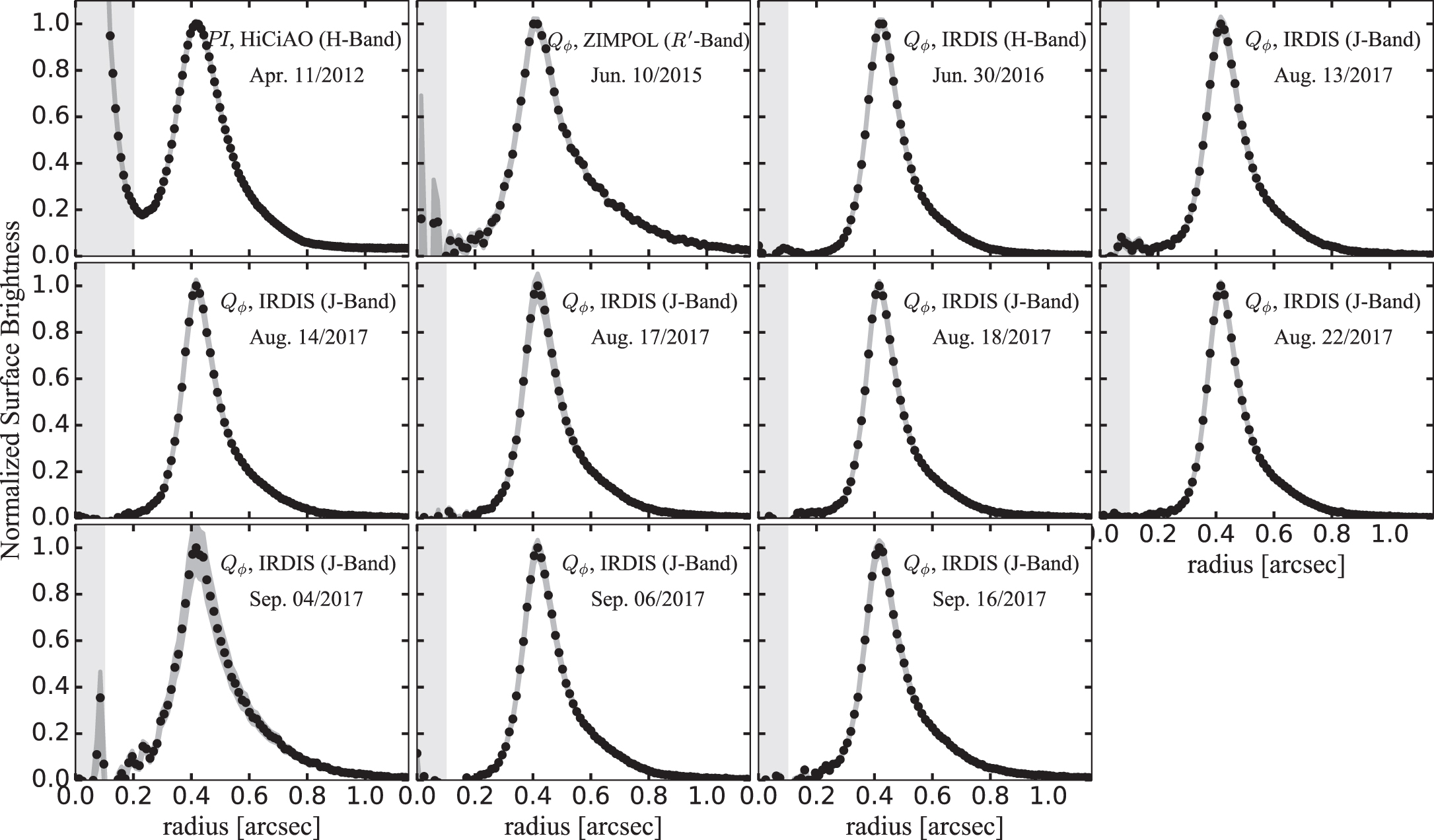
Caption: Figure 2.

Normalized radial profile of the surface brightness obtained after an azimuthal average. The uncertainty of the data correspond to the standard deviation in each radial bin, divided by the square root of the number of pixels in that bin. The shaded area corresponds to the coronagraph radius.

Other Images in This Article
Copyright and Terms & Conditions