Image Details

Choose export citation format:

SUPERMASSIVE BLACK HOLES WITH HIGH ACCRETION RATES IN ACTIVE GALACTIC NUCLEI. VI. VELOCITY-RESOLVED REVERBERATION MAPPING OF THE Hβ LINE

  • Authors: Pu Du, Kai-Xing Lu, Chen Hu, Jie Qiu, Yan-Rong Li, Ying-Ke Huang, Fang Wang, Jin-Ming Bai, Wei-Hao Bian, Ye-Fei Yuan, Luis C. Ho, and Jian-Min Wang

2016 The Astrophysical Journal 820 27.

  • Provider: AAS Journals

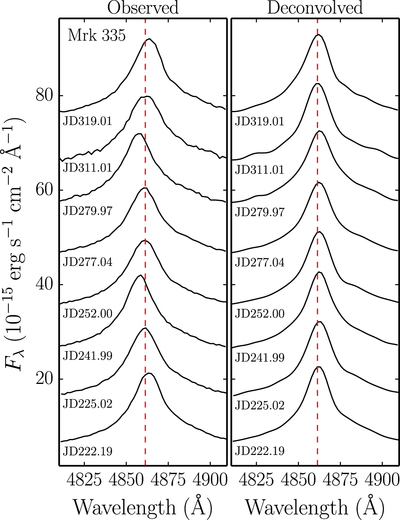
Caption: Figure 7.

A comparison of the deconvolved profiles (Mrk 335) with the observed ones. The profiles are shifted vertically by a constant value (﹩{10}^{-14}\;\mathrm{erg}\;{{\rm{s}}}^{-1}\;{\mathrm{cm}}^{-2}\;{\mathring{\rm A} }^{-1}﹩) from bottom to top for clarity. The broadening caused by instruments and varying seeing is corrected successfully. The miscentering effect (see Section 3) is also eliminated effectively. The dashed lines mark the center of Hβ λ4861. The wavelength is in the rest frame and JD − 2456000 is marked next to each profile.

Other Images in This Article
Copyright and Terms & Conditions