Image Details

Choose export citation format:

Weighing Hidden Companions of Compact Object Candidates via Rotational Broadening

  • Authors: Rui Wang, Zhi-Xiang Zhang, Wei-Min Gu, Hao-Bin Liu, Tuan Yi, Zhong-Rui Bai

Rui Wang et al 2026 The Astronomical Journal 171 .

  • Provider: AAS Journals

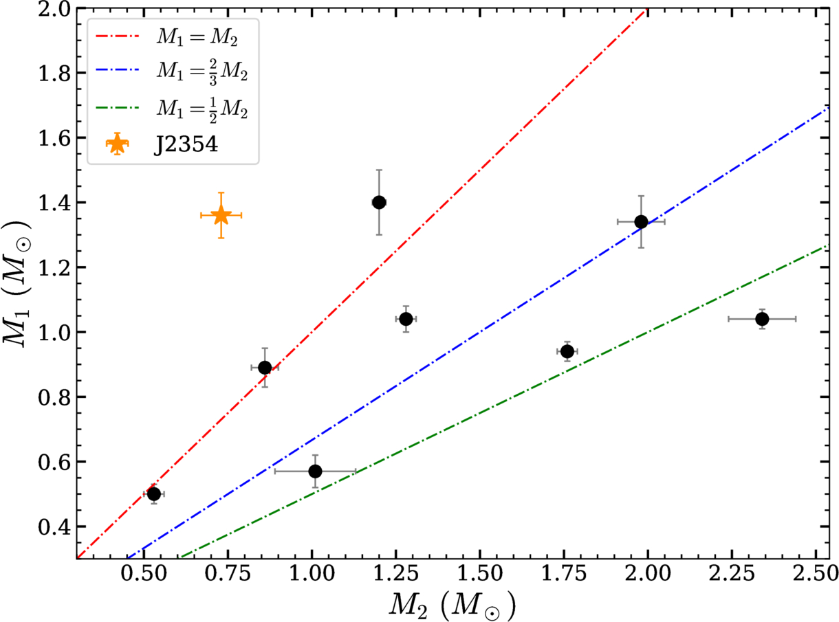
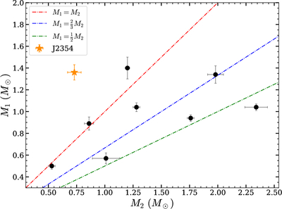
Caption: Figure 5.

The mass of the visible star (M2) vs. that of the unseen companions (M1). The red, blue, and green dashed–dotted lines indicate M1 = M2, M1 = 2/3M2, and M1 = 1/2M2, respectively. The confirmed compact object system J2354 is marked with an orange star, while other targets are shown as black circles with errors.

Other Images in This Article

Show More

Copyright and Terms & Conditions

Additional terms of reuse