Image Details

Choose export citation format:

Scalable Gaussian Processes for Integrated and Overlapping Measurements via Augmented State-space Models

  • Authors: Ryan A. Rubenzahl, Soichiro Hattori, Simo Särkkä, Will M. Farr, Jacob K. Luhn, Megan Bedell, Daniel Foreman-Mackey

Ryan A. Rubenzahl et al 2026 The Astronomical Journal 171 .

  • Provider: AAS Journals

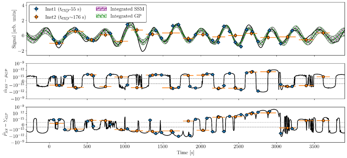
Caption: Figure 3.

The same as Figure 2 but for a mock dataset with two instruments; one with 55 s exposures and one with variable 180 ± 30 s, which frequently overlap. Again, the two methods generally agree to within the expectation from numerical precision. Numerical stability in the variance may be improved with square-root filters (e.g., F. Yaghoobi et al. 2025).

Other Images in This Article
Copyright and Terms & Conditions

Additional terms of reuse