Image Details

Choose export citation format:

A JWST Transit of a Jupiter Analog. I. Constraints on the Oblateness of Kepler-167 e

  • Authors: Ben Cassese, David Kipping, Quentin Changeat, Daniel A. Yahalomi, Justin Vega, Yayaati Chachan, Billy Edwards, Alex Teachey

Ben Cassese et al 2026 The Astronomical Journal 171 .

  • Provider: AAS Journals

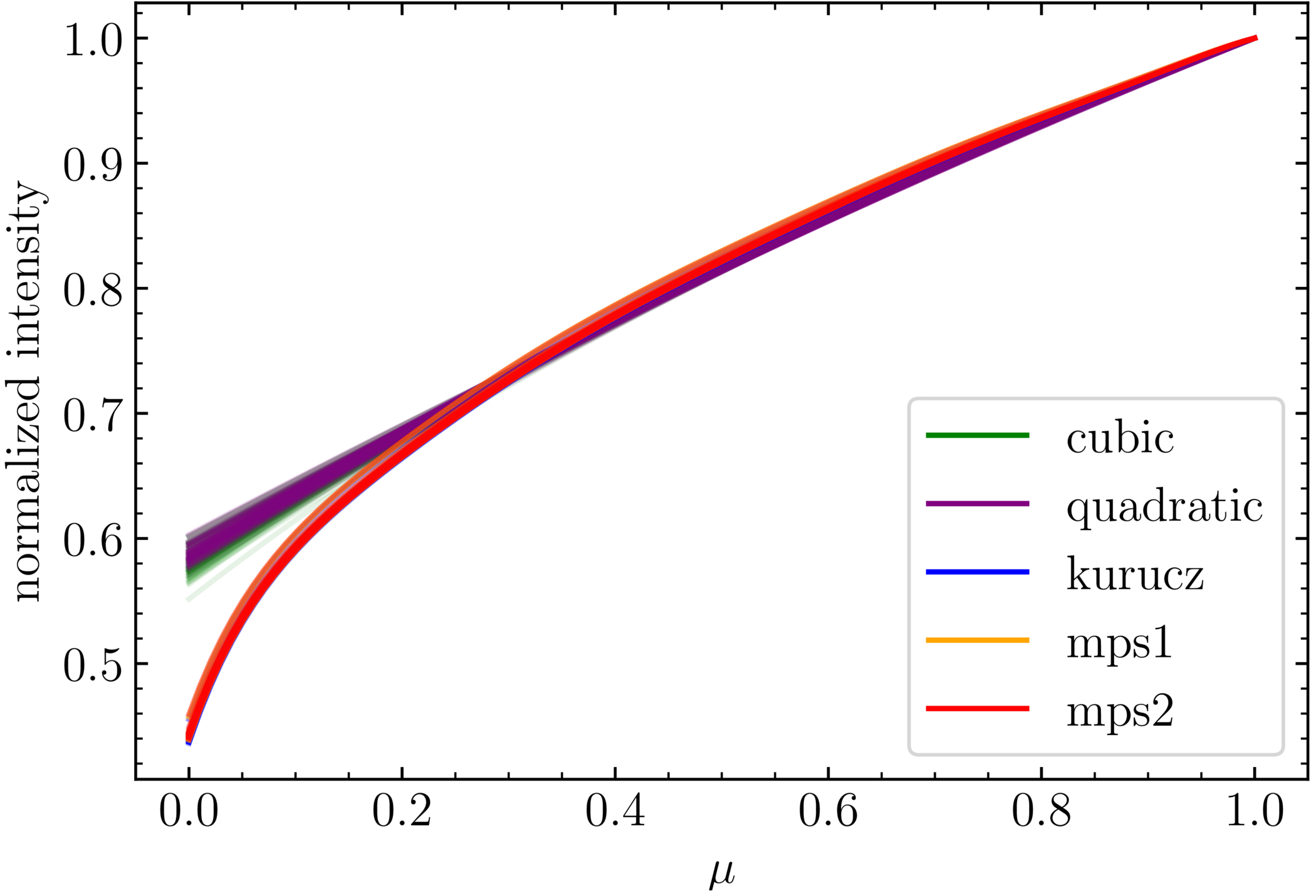
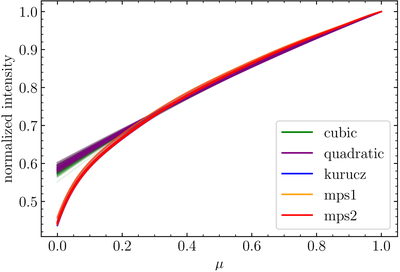
Caption: Figure 8.

The MLE limb-darkening profiles for all models using an exponential trend and a Matérn 3/2 GP kernel. Note that all three of the physical models stack on top of one another, while the quadratic and cubic models agree with each other and prefer a gentler curve on the limb.

Other Images in This Article

Show More

Copyright and Terms & Conditions

Additional terms of reuse