Image Details

Choose export citation format:

KIC 9656397: Long-period, Extremely Short-eclipse Detached Eclipsing Binary with Pulsation?

  • Authors: Xiao-Hui Xu, 小 慧 徐, Xu-Zhi Li, 旭 志 李, Qing-Feng Zhu, 青 峰 朱, Gang Li, 刚 李, Jin-Sheng Qiu, 锦 盛 邱, Zi-Bin Meng, 子 斌 孟, Pei-Ru Wu, 沛 儒 吴, Ke Hu, 柯 胡, Yuan-Gui Yang, 远 贵 杨, Jun-Han Zhao, 峻 涵 赵, Zhi-Yong Pu, 智 勇 蒲

Xiao-Hui Xu et al 2026 The Astronomical Journal 171 .

  • Provider: AAS Journals

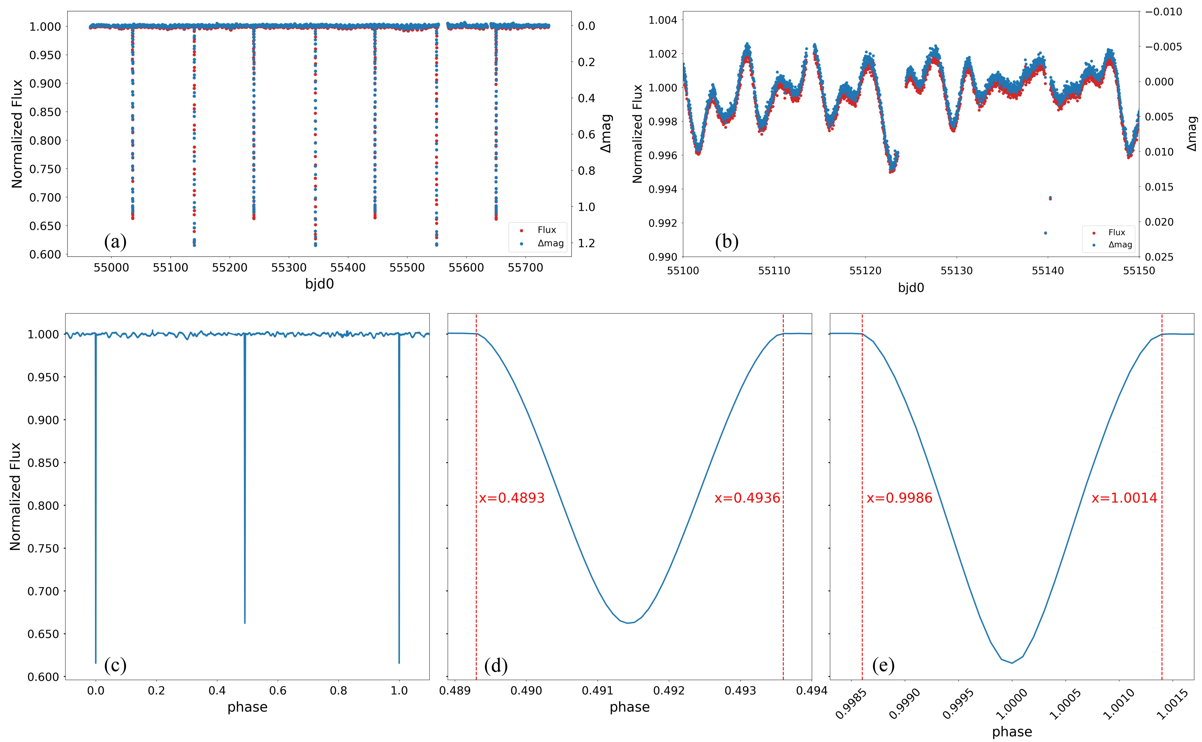
Caption: Figure 1.

Light curves of KIC 9656397 from the Kepler database. (a) Full light curve showing both primary and secondary eclipses. (b) Out-of-eclipse variations with an amplitude of approximately 0.02 mag, suggesting surface activity or rotational modulation. (c) Phase-folded light curve highlighting the overall morphology. (d) Close-up view of the secondary eclipse, which is offset from phase 0.5, indicating an eccentric orbit. (e) Close-up view of the primary eclipse.

Other Images in This Article
Copyright and Terms & Conditions

Additional terms of reuse