Image Details

Choose export citation format:

KIC 9656397: Long-period, Extremely Short-eclipse Detached Eclipsing Binary with Pulsation?

  • Authors: Xiao-Hui Xu, 小 慧 徐, Xu-Zhi Li, 旭 志 李, Qing-Feng Zhu, 青 峰 朱, Gang Li, 刚 李, Jin-Sheng Qiu, 锦 盛 邱, Zi-Bin Meng, 子 斌 孟, Pei-Ru Wu, 沛 儒 吴, Ke Hu, 柯 胡, Yuan-Gui Yang, 远 贵 杨, Jun-Han Zhao, 峻 涵 赵, Zhi-Yong Pu, 智 勇 蒲

Xiao-Hui Xu et al 2026 The Astronomical Journal 171 .

  • Provider: AAS Journals

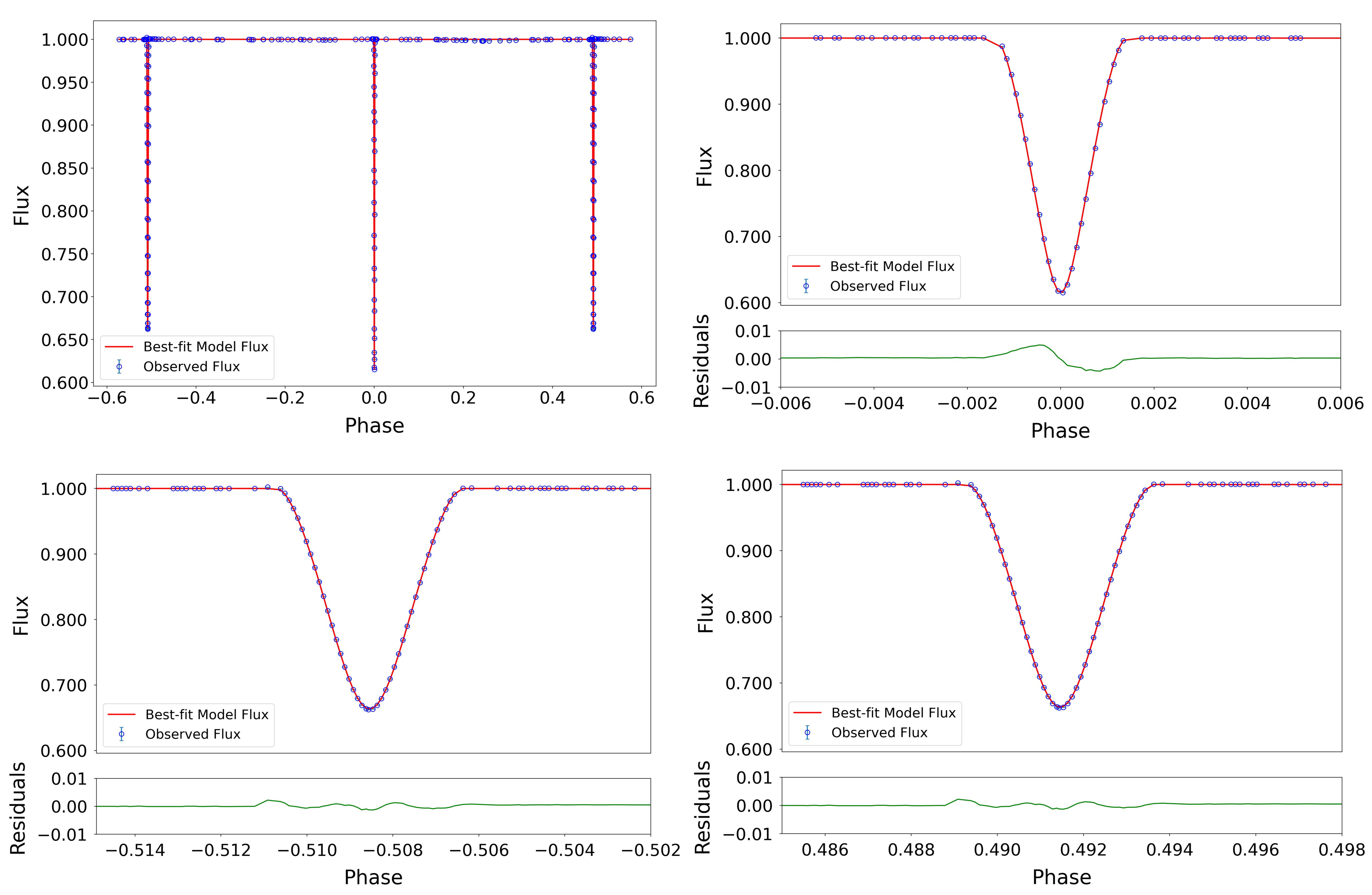
Caption: Figure 4.

Comparison between the best-fit model (red line) and the photometric data during the second orbital cycle. The top-left panel shows the full light curve over phase −0.5–0.5, centered on the primary eclipse at phase 0.0. The remaining panels show zoomed-in views around the primary and secondary eclipses, with residuals (data − model) displayed below each corresponding light curve.

Other Images in This Article
Copyright and Terms & Conditions

Additional terms of reuse