Image Details

Choose export citation format:

JWST COMPASS: NIRSpec/G395H Transmission Observations of the Sub-Neptune HD 15337 c

  • Authors: Nicole L. Wallack, Peter Gao, Michael Greklek-McKeon, Annabella Meech, Artyom Aguichine, Munazza K. Alam, Lili Alderson, Natasha E. Batalha, Natalie M. Batalha, Anna Gagnebin, Tyler A. Gordon, James Kirk, Mercedes López-Morales, Sarah E. Moran, Jea Iyanla Redai, Nicholas Scarsdale, Johanna Teske, Hannah R. Wakeford, Nicholas F. Wogan, Angie Wolfgang

Nicole L. Wallack et al 2026 The Astronomical Journal 171 .

  • Provider: AAS Journals

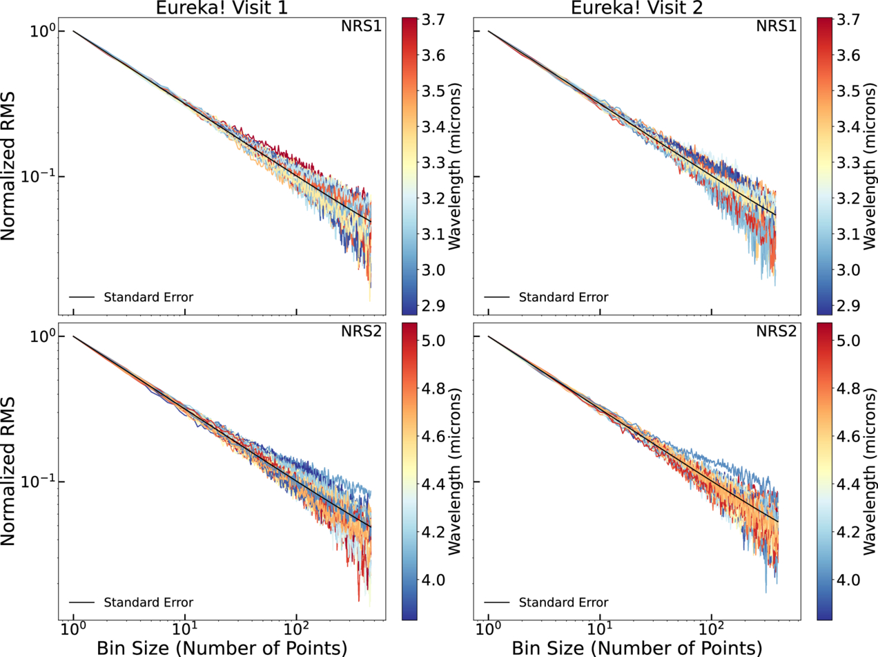
Caption: Figure 6.

The plots of normalized rms vs. bin size for both detectors for both visits are shown for the Eureka! reduction colored by wavelength. The bins generally follow the black lines, which represent the standard error, and show that the residual noise seen in the white light curves (Figure 3) is not as evident in the individual spectroscopic bins, likely due to the larger noise in the bins.

Other Images in This Article

Show More

Copyright and Terms & Conditions

Additional terms of reuse