Image Details

Choose export citation format:

Is Crater II Disrupting?

  • Authors: A. Katherina Vivas, Alistair R. Walker, Clara E. Martínez-Vázquez, MJ Cooke, Carme Gallart, Matteo Monelli, Jaime A. Rojas Cancino, David L. Nidever

A. Katherina Vivas et al 2026 The Astronomical Journal 171 .

  • Provider: AAS Journals

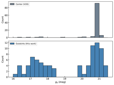
Caption: Figure 3.

Distribution of extinction-corrected g magnitudes in the central field of CraII (from V20; top histogram) and in the outskirts (bottom histogram).

Other Images in This Article
Copyright and Terms & Conditions

Additional terms of reuse