Image Details

Choose export citation format:

The FAST-SETI Milky Way Globular Cluster Survey. I. A Pilot Multibeam On-the-fly Search of Five Globular Clusters at the L Band

  • Authors: Bo-Lun Huang, 博伦 黄, Zhen-Zhao Tao, 振钊 陶, Tong-Jie Zhang, 同杰 张, Vishal Gajjar

Bo-Lun Huang et al 2026 The Astronomical Journal 171 .

  • Provider: AAS Journals

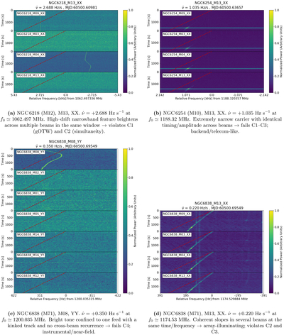
Caption: Figure 4.

Representative RFI morphologies in FAST GC observations. All four examples fail the MBPS verification sequence (C1-C5): (a,b) multibeam simultaneity with flat gain envelopes (C1)–(C3); (c) single-feed, irregular track (C4); (d) array-wide coherence inconsistent with in-stripe sequencing (C2)–(C3).

Other Images in This Article
Copyright and Terms & Conditions

Additional terms of reuse